熱線:021-66110810,66110819
手機:13564362870

熱線:021-66110810,66110819
手機:13564362870
The mesoglea buffers the physico-chemical microenvironment of photosymbionts in the upside-down jellyfish Cassiopea sp.
中膠層緩沖倒立水母(Cassiopea sp.)光合共生體的物理化學微環境
來源:Frontiers in Ecology and Evolution, Volume 11, Article 1112742, Published 27 March 2023
《生態與進化前沿》第11卷,文章編號1112742,2023年3月27日發表
摘要內容
研究通過光纖和電化學微傳感器技術,揭示了倒立水母(Cassiopea sp.)中膠層(mesoglea)對其共生甲藻(Symbiodiniaceae)微環境的緩沖機制:
光微環境異質性:水母不同解剖結構(如口腕、柄部)的光子標量輻照度存在空間差異(圖1),白色色素組織(尤其鐘形體)通過光散射增強光滲透(圖2-3)。



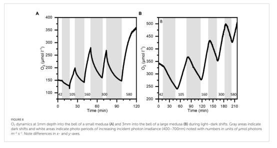
O?動態:中膠層在光照下積累O?(濃度達海水2倍),黑暗時緩慢消耗;大型水母(鐘形體厚度>8mm)的O?變化延遲顯著(圖4-7),表明中膠層作為O?庫緩沖波動。




pH緩沖:中膠層維持堿性環境(pH~8.8),黑暗時表層pH驟降但深層穩定(圖9-10),減少共生藻酸化壓力。


尺寸效應:小型水母(厚度<4mm)的O?/pH響應迅速(類似珊瑚),大型個體響應延遲(圖6,10),凸顯中膠層厚度對微環境穩定的關鍵作用。
研究目的
探究Cassiopea水母組織如何調控共生藻的光合作用微環境(光、O?、pH)。
闡明中膠層在緩沖環境波動(如光暗轉換)中的生理機制。
研究思路
光微環境表征:
光子標量輻照度空間分布(圖1)
光譜反射率與標量輻照度深度剖面(圖2-3)
化學微環境動態:
O?深度剖面與光暗動態(圖4-7)
pH深度剖面與光暗響應(圖9-10)
尺寸效應驗證:對比小型(25-48mm)與大型(63-67mm)水母的O?/pH響應差異(圖6,10)。
測量數據、來源及研究意義
光子標量輻照度分布(圖1):
數據:柄部中心光強最高(166%入射光),口腕區140±19%,鐘形體下僅75±12%。
意義:揭示水母形態創造光學微生境,優化共生藻光捕獲效率。
光譜標量輻照度剖面(圖3):
數據:白色色素組織(近觸手管)0-400μm深度光增強,隨后快速衰減;無色素組織光衰減平緩。
意義:宿主色素通過散射提升光利用,類似珊瑚骨骼的光調控策略。
O?深度剖面(圖4-5):
數據:光照下O?濃度隨深度增加(3.7mm處達445μM,海水約210μM);黑暗時表層O?快速消耗,深層(>1mm)維持高濃度。
意義:中膠層作為O?儲庫,支持黑暗期宿主肌肉與共生藻呼吸需求。
O?光暗動態(圖6-7):
數據:小型水母O?濃度光暗響應迅速(分鐘級);大型水母光照停止后O?仍持續上升數分鐘。
意義:中膠層厚度延緩O?擴散,緩沖環境波動對共生體系的沖擊。
pH深度剖面與動態(圖9-10):
數據:黑暗時表層pH驟降(較海水低0.3-0.5單位),但深層(>1000μm)維持pH~8.8;大型水母pH變化延遲>10分鐘。
意義:中膠層減少質子滲透,保護共生藻免受酸化脅迫。
結論
光調控機制:宿主白色色素增強光散射,優化共生藻光合效率(圖1-3)。
化學緩沖作用:厚中膠層儲存O?并維持pH穩定,減緩光暗轉換時的理化波動(圖4-10)。

生態適應性:緩沖能力使Cassiopea能在環境多變的淺海棲息地(如紅樹林)繁盛,區別于對波動敏感的珊瑚。
丹麥Unisense電極測量數據的研究意義
實驗中采用Unisense pH微電極(PH-100,尖端直徑100μm)和光纖O?傳感器(PyroScience OXR230):
高分辨率pH監測:
直接測量組織內部pH梯度(圖9),發現中膠層深層維持堿性環境(pH~8.8),保護共生藻免受黑暗呼吸導致的酸化損傷。
捕捉到大型水母pH變化的延遲響應(圖10),證實中膠層對質子擴散的物理屏障作用。
技術優勢:
空間精度:微電極可穿透水母組織(最深4mm),實現μm級深度剖面,揭示O?/pH的垂直異質性(圖4,9)。
時間動態:秒級響應記錄光暗轉換的O?/pH瞬時變化(圖6,10),量化中膠層緩沖動力學(大型水母響應延遲>10分鐘)。
生理學啟示:
O?儲存證實中膠層為"代謝緩沖池",支持宿主在缺氧環境(如夜間淺水)的生存(圖7)。
pH穩定性解釋Cassiopea為何能耐受高CO?環境(如富營養化海域),為共生體系抗逆性研究提供新視角。
研究價值:Unisense微電極首次量化Cassiopea中膠層的O?/pH緩沖能力,揭示厚中膠層是水母在波動環境中維持共生穩態的關鍵結構基礎,為理解共生體系對環境變化的適應性提供新機制。