熱線:021-66110810,66110819
手機:13564362870

熱線:021-66110810,66110819
手機:13564362870
Mechanisms of increasing predation by planktivorous fish with rising temperature may explain the temperature-body size relationships in zooplankton
浮游生物食性魚類捕食率隨溫度升高的機制可能解釋浮游動物的溫度-體型關系
來源:Frontiers in Ecology and Evolution, Volume 11, 2023, Article 1187404
《生態與進化前沿》第11卷,2023年,文章編號1187404
摘要內容
研究驗證了三個假設:
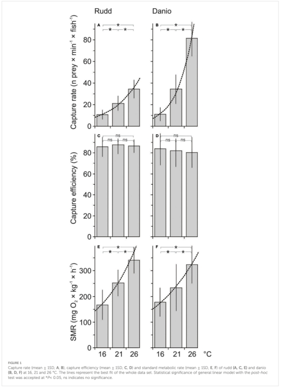
溫度升高顯著增強魚類捕食率:兩種浮游生物食性魚類(溫帶的紅眼魚 Scardinius erythrophthalmus 和熱帶的馬拉巴斑馬魚 Devario malabaricus)在16°C、21°C和26°C下捕食水蚤(Daphnia magna)。捕食率(CR)的Q??值遠超2(紅眼魚Q??=3.22,馬拉巴斑馬魚Q??=7.40),表明溫度每升高10°C,捕食率增加超過2倍(圖1)。

代謝率無法解釋捕食率增幅:魚類的標準代謝率(SMR)Q??≈2(紅眼魚Q??=2.04,馬拉巴斑馬魚Q??=1.87),與代謝理論預期一致,但遠低于捕食率的增幅(表1)。


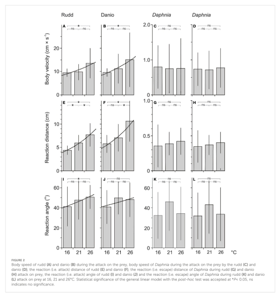
行為機制驅動捕食率升高:溫度升高顯著提升魚類的攻擊行為參數:
攻擊反應體積(RFV):Q??高達8.19(紅眼魚)和7.63(馬拉巴斑馬魚),源于攻擊速度(ABV)、反應距離(RD)和攻擊角度(α)的協同增加(圖2, 3)。


獵物逃避能力受限:水蚤的逃避速度(EBV)和反應距離(RDD)對溫度不敏感(Q??≈1),導致魚類攻擊成功率大幅提升(表1)。
結論:溫度通過不對稱地增強魚類攻擊能力(而非代謝率)提高捕食率,這解釋了浮游動物在變暖環境中體型變小(溫度-體型規則TSR)和密度下降的生態現象。
研究目的
驗證溫度升高是否導致浮游生物食性魚類捕食率增幅超過Q??=2的預期。
探究捕食率增幅是否源于代謝率變化或行為機制(如攻擊范圍擴大)。
揭示溫度驅動浮游動物體型變小的捕食-壓力機制。
研究思路
實驗設計:
對象:紅眼魚(溫帶種)和馬拉巴斑馬魚(熱帶種)幼魚,獵物為水蚤。
溫度處理:16°C、21°C、26°C(覆蓋自然生境溫度范圍)。
步驟:
階段I:測量捕食率(CR)、捕食效率(Ceff)及魚類與水蚤的運動參數(速度、反應距離/角度)。
階段II:用呼吸儀測量魚類標準代謝率(SMR)。
關鍵參數計算:
攻擊反應體積(RFV):綜合攻擊速度、反應距離和角度計算,反映魚類攻擊范圍。
Q??值:量化溫度敏感性。
統計分析:廣義線性模型(GLM)檢驗溫度、魚種及其交互效應對各參數的影響。
測量數據、來源及研究意義
捕食率(CR)(圖1;表1):
數據:溫度從16°C升至26°C,紅眼魚CR增加3.22倍,馬拉巴斑馬魚增加7.40倍。
意義:直接證明溫度升高顯著提升魚類對浮游動物的致死率,為TSR提供關鍵驅動力證據。
標準代謝率(SMR)(圖1;表1):
數據:SMR的Q??≈2(紅眼魚2.04,馬拉巴斑馬魚1.87),與代謝理論一致。
意義:排除代謝率主導捕食率增幅的假說,提示行為機制的重要性。
攻擊行為參數(圖2;表1):
攻擊速度(ABV):Q??=1.41(紅眼魚)和1.57(馬拉巴斑馬魚)。
反應距離(RD):Q??≈2(兩類魚均接近2)。
攻擊角度(α):Q??≈1(變化不顯著)。
綜合效應:攻擊反應體積(RFV)Q??達8.19(紅眼魚)和7.63(馬拉巴斑馬魚)。
意義:溫度通過擴大魚類攻擊范圍(而非單一速度或距離)大幅提升捕食成功率。
水蚤逃避能力(圖2;表1):
數據:逃避速度(EBV)和反應距離(RDD)的Q??≈1,對溫度不敏感。
意義:獵物無法通過增強逃避響應抵消魚類攻擊優勢,導致溫度升高后死亡率激增。
結論
核心發現:溫度升高使魚類捕食率增幅遠超Q??=2(最高達Q??=7.4),該效應由攻擊反應體積擴大驅動,而非代謝率變化。
生態啟示:
解釋浮游動物TSR:高溫下魚類捕食壓力增強,迫使浮游動物提前成熟(體型變小)。
預測群落變化:變暖水域中浮游動物平均體型減小、密度降低,因魚類捕食效率提升。
普適性:該機制可能適用于其他捕食者-獵物系統,尤其存在運動能力不對稱的界面。
丹麥Unisense電極測量數據的研究意義
實驗中采用Unisense氧電極(型號287)測量魚類標準代謝率(SMR),核心價值在于:
高精度代謝監測:
在流水式呼吸儀中實時監測溶解氧(每5分鐘/次),計算質量特異性耗氧率。
定義SMR為最低10%耗氧率的平均值,排除活動干擾,準確反映基礎代謝需求。
驗證代謝假說:
SMR的Q??≈2(表1),符合溫度對生化反應速率的預期(Q??=1.5–2.5),但遠低于捕食率增幅。
明確排除"代謝率升高直接導致捕食率增加"的假說,將機制轉向行為學層面。
技術優勢:
流動系統設計:維持水體氧飽和度>75%,避免缺氧脅迫影響代謝數據。
黑暗環境控制:呼吸儀遮光處理,減少魚類應激,確保SMR測量穩定性。
研究意義:Unisense電極提供可靠的代謝基線數據,為行為機制(攻擊范圍擴大)的主導作用提供關鍵反證,深化了對溫度-捕食關系的理解。