熱線:021-66110810,66110819
手機:13564362870

熱線:021-66110810,66110819
手機:13564362870
Acute hydrogen sulfide exposure in post-smolt Atlantic salmon(Salmo salar): Critical levels and recovery
后幼鮭期大西洋鮭(Salmo salar)急性硫化氫暴露:臨界水平與恢復
來源:Aquaculture, 570 (2023)
《水產養殖》,第570卷(2023年)
摘要內容:
研究通過間歇性流通式呼吸測量法,評估了急性硫化氫(H?S)暴露對大西洋鮭代謝的影響。實驗將三組不同體重(100-500克)的鮭魚暴露于漸進增加的H?S濃度(0.53±0.14 μM/h),直至耗氧率(MO?)低于標準代謝率(SMR)或失去平衡(LOE),此時定義為臨界H?S濃度(H?Scrit)。暴露后,魚類在無H?S水中恢復,以測定過量耗氧量(EOC)。結果表明,大西洋鮭對H?S的耐受性低于此前預期,平均H?Scrit為1.78±0.39 μM,且與體型無關。恢復階段的EOC顯著高于累積氧虧(DO?),小型鮭的EOC更大,表明暴露后更易受其他脅迫影響。
研究目的:
確定大西洋鮭急性H?S暴露的臨界濃度(H?Scrit)及其對代謝的抑制機制。
量化暴露后的恢復過程(EOC),評估不同體型鮭魚的恢復能力差異。
為水產養殖業提供H?S安全閾值數據,以制定防控策略。
研究思路:
實驗設計:
三組鮭魚(小型:103.3±21.0克,中型:275.3±26.3克,大型:550.2±39.3克)置于呼吸測量系統中(圖1)。

24小時適應期測定SMR和最大耗氧率(MO?max)。
H?S線性遞增暴露(0.53±0.14 μM/h)直至達到H?Scrit(MO?<SMR或LOE),隨后切換至無H?S水恢復。
參數測量:
實時監測H?S濃度(Unisense微電極)、MO?、溫度、pH。
計算SMR、MO?max、有氧代謝范圍(AS)、累積氧虧(DO?)、恢復期過量耗氧量(EOC)及恢復時間。
數據分析:
比較不同體型組的H?Scrit、EOC、DO?差異(ANOVA檢驗)。
測量的數據及研究意義(注明來源圖表):
代謝基礎參數(表1):

SMR、MO?max、AS:反映魚類基礎代謝能力。小型與大型鮭SMR較高(P<0.05),但AS無組間差異,表明體型不影響最大有氧代謝潛力。
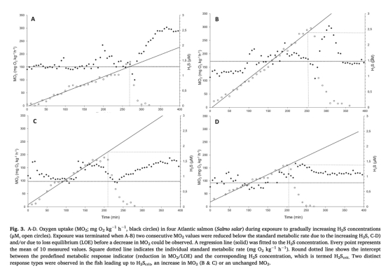
H?Scrit(表1,圖3):

所有組平均H?Scrit為1.78±0.39 μM(60.7±13.2 μg/L),無體型差異(P=0.786)。意義:首次明確大西洋鮭H?S耐受閾值遠低于既往報道(如金魚3.5 μM),解釋養殖中突發死亡現象。
暴露響應模式(圖3):
26%個體因LOE終止暴露(未顯示MO?下降),其余因MO?<SMR。MO?響應分兩類:H?S遞增期MO?升高(B、C)或不變(A、D)。意義:個體代謝響應異質性顯著,預警系統需依賴直接H?S監測而非統一行為指標。
恢復參數(表2,圖4):


MO?peak:恢復期峰值耗氧率,小型鮭比中型高48%(P<0.05),反映其代謝紊亂更嚴重。
DO?:暴露期累積氧虧,組間無差異(P=0.547)。
EOC:恢復期過量耗氧量,小型鮭(405.7±176.3 mg O?/kg/h)顯著高于中、大型(P=0.016),表明小型鮭需更多能量清除代謝副產物。
EOC > DO?:所有組EOC遠超DO?(如小型鮭差40倍),揭示H?S抑制線粒體功能導致的"隱性代謝代價"。
結論:
大西洋鮭H?Scrit為1.78±0.39 μM,獨立于體型,但遠低于多數魚類(如金魚3.5 μM),解釋養殖RAS系統突發死亡。
H?S暴露引發兩類代謝響應:MO?升高或不變,26%個體因LOE終止,提示個體異質性限制行為預警可行性。
恢復期EOC顯著高于DO?,小型鮭EOC更大,暴露后更脆弱,需更多氧債償還。
丹麥Unisense電極數據的詳細研究意義:
高精度實時監測(圖1, 3):
電極每分鐘記錄H?S濃度(pH/T校正),9點校準(R2>0.99),確保暴露濃度的準確性(0.53±0.14 μM/h線性遞增)。
反饋系統聯動蠕動泵(圖1),動態維持目標H?S,克服H?S氧化損失問題(半衰期<3小時)。
臨界閾值界定:
實時H?S數據與MO?同步(圖3),精準定位H?Scrit(MO?<SMR或LOE時刻),避免傳統靜態暴露的濃度高估。
毒理機制解析:
H?S濃度-時間曲線(圖3)揭示暴露時長(平均206.6分鐘)與代謝抑制的關聯,證實H?S通過抑制細胞色素c氧化酶(COX)阻遏有氧代謝。
養殖應用價值:
實測閾值(1.78 μM)為RAS系統H?S預警提供依據,強調需實時傳感器(因個體響應差異大),而非行為監測。