熱線:021-66110810,66110819
手機:13564362870

熱線:021-66110810,66110819
手機:13564362870
Single-celled bioturbators: benthic foraminifera mediate oxygen penetration and prokaryotic diversity in intertidal sediment
單細胞生物擾動者:底棲有孔蟲介導潮間帶沉積物中的氧氣滲透和原核生物多樣性
來源:EGUsphere Preprint, Discussion started: 17 April 2023
EGUsphere預印本,討論開始日期:2023年4月17日
摘要內容:
本研究通過實驗室實驗證明,底棲有孔蟲的運動行為顯著增加了沉積物中的氧氣滲透深度(OPD),降低了沉積物總有機碳(TOC)含量,并改變了原核生物群落結構。有孔蟲在沉積物表層(0-5 mm)的活動減少了細菌豐富度,并通過增加深層沉積物的氧氣滲透抑制了硫酸鹽還原菌的豐度。這表明有孔蟲不僅參與顆粒物搬運(生物擾動),還通過生物灌溉(溶質運輸)影響沉積物-水界面的溶解氧通量,從而調控微生物群落和有機質礦化過程。
研究目的:
量化有孔蟲生物擾動對沉積物氧氣垂直分布和通量的影響。
分析有孔蟲活動對沉積物有機質(TOC和TN)含量的影響。
揭示有孔蟲介導的氧氣變化如何塑造原核生物(細菌和古菌)群落結構。
研究思路:
實驗設計:
采集法國Authie Bay潮間帶沉積物,經冷凍滅活后填充至17個沉積柱(45 mm高)。
設置對照組(無有孔蟲)和處理組(有孔蟲密度30 ind./cm2),在恒溫(18°C)黑暗條件下培養85天。
有孔蟲種類組成模擬自然群落(78% Haynesina germanica,10% Ammonia tepida等)。
參數測量:
氧氣微剖面:使用Unisense微電極(50 μm尖端)測量溶解氧垂直分布(圖3)。


有機質含量:實驗結束時分兩層(0-5 mm和5-10 mm)測定TOC和TN(圖2)。

微生物群落:通過16S rRNA基因測序分析細菌和古菌群落結構(圖4-6)。



數據分析:
線性混合效應模型檢驗有孔蟲對OPD和氧虧(DOU)的影響(表1)。

PERMANOVA和NMDS分析微生物群落差異(圖4B, 6B)。
測量的數據及研究意義(注明來源圖表):
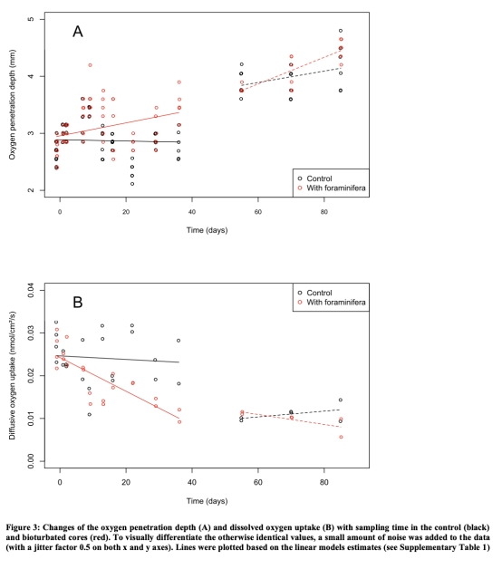
氧氣滲透深度(OPD)與氧虧(DOU)(圖3,表1):
有孔蟲使OPD增加0.7 mm(前36天),DOU降低(0.025→0.011 nmol/cm2/s)。意義:證明有孔蟲通過生物灌溉增強沉積物氧化,減少厭氧代謝,為理解單細胞生物對沉積物氧化還原狀態的調控提供直接證據。
有機碳與氮含量(圖2):
有孔蟲處理組0-5 mm層TOC(1.4%±0.05)和TN(0.2%±0.01)顯著低于對照組。意義:表明有孔蟲活動促進表層有機質礦化,揭示其對碳循環的貢獻。
微生物群落結構(圖4-6):
細菌豐富度在0-5 mm層降低,硫酸鹽還原菌(如 Desulfatobacterales)在深層減少(圖5A)。古菌群落中,好氧的 Candidatus Nitrosopumilus 在表層富集(圖6A)。意義:氧氣滲透加深抑制了嚴格厭氧菌,凸顯有孔蟲作為"生態系統工程師"通過改變微生境調控微生物功能群。
結論:
有孔蟲的運動行為通過增加氧氣滲透深度(OPD)和降低氧虧(DOU),顯著改變沉積物氧化還原狀態。
有孔蟲減少表層沉積物有機碳含量(TOC),促進有機質礦化。
有孔蟲活動降低細菌豐富度,并通過深層氧氣滲透抑制硫酸鹽還原菌,證明其通過生物灌溉影響微生物群落組裝。
有孔蟲是首個被證實兼具顆粒物(生物擾動)和溶質運輸(生物灌溉)能力的單細胞真核生物,應被視為關鍵生態系統工程師。
丹麥Unisense電極數據的詳細研究意義:
高分辨率氧梯度測量:
Unisense微電極(50 μm尖端)以150 μm垂直分辨率獲取溶解氧剖面(圖3),實現沉積物-水界面至缺氧區的毫米級氧梯度量化。
校準后(100%飽和海水 vs. 沉積物缺氧層)確保數據精度,為計算氧虧(DOU)和氧氣滲透深度(OPD)提供可靠依據。
揭示生物灌溉機制:
電極數據顯示有孔蟲處理組OPD增加0.7 mm(圖3A),直接證明其運動形成微通道,促進氧氣向深層擴散。
DOU降低(圖3B)反映有孔蟲活動減少沉積物氧消耗,可能通過抑制需氧微生物呼吸或改變有機質可利用性。
支持微生物群落解釋:
氧剖面數據與微生物分析關聯:OPD加深導致深層硫酸鹽還原菌豐度降低(圖5A),因氧氣抑制其代謝活性。
表層好氧古菌(如 Candidatus Nitrosopumilus)富集(圖6A)與電極記錄的氧化微環境一致,驗證氧氣分布驅動微生物功能分區。
方法學貢獻:
結合彈性網算法(Elastic Net)優化氧剖面模型,減少傳統分步回歸的誤差,提升DOU計算準確性(R2>0.97)。
為后續研究提供標準流程:微電極校準、垂直分辨率設置(150 μm)及OPD定義閾值(<1 μmol/L)。