熱線:021-66110810,66110819
手機:13564362870

熱線:021-66110810,66110819
手機:13564362870
Resilience of recruiting seagrass (Thalassia testudinum) to porewater H?S in Florida Bay
佛羅里達灣海草對孔隙水 H 2 S 的恢復能力
來源:Aquatic Botany 187 (2023) 103650
1. 摘要核心內容
研究對象:熱帶海草 Thalassia testudinum(海龜草)在佛羅里達灣高硫化氫(H?S)沉積物中的幼苗定植能力。
核心發現:
幼苗抗H?S機制:幼苗通過(1)白天高效光合產氧、(2)夜間水柱擴散供氧(潮汐輔助)、(3)根系發育延遲限制微生物產H?S,抵抗沉積物H?S脅迫。
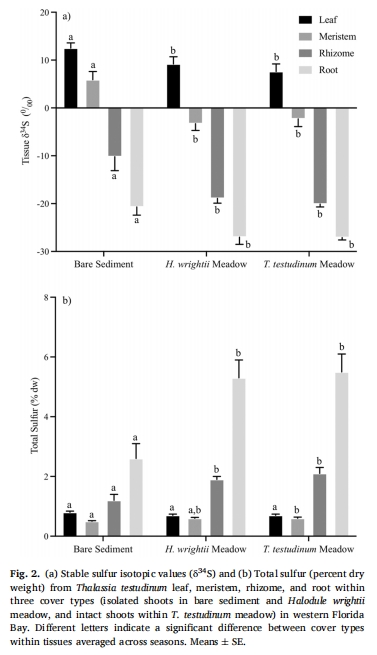
組織硫同位素(δ3?S):裸沙定植幼苗組織δ3?S值顯著高于成熟草甸(圖2a),表明其H?S暴露水平更低。
內部氣體動態:Unisense微電極數據顯示,幼苗分生組織夜間缺氧時間長于葉片(5:08 h vs 1:23 h),但未檢測到H?S積累(表5)。
結論:T. testudinum 幼苗可通過生理與發育策略在高H?S環境中成功定植,但草甸完全恢復需十年以上。


2. 研究目的
探究沉積物H?S是否限制 T. testudinum 幼苗向裸沙區域定植。
評估幼苗組織H?S暴露程度及內部O?/H?S動態。
揭示幼苗在極端環境(高H?S、缺氧)中的生存策略。
3. 研究思路
場地選擇:佛羅里達灣Johnson Key(圖1a),該區域因歷史性海草死亡事件形成大片裸沙區。
樣本設計:對比三種生境:
裸沙定植幼苗(圖1b)
Halodule wrightii 草甸中的幼苗(圖1c)
成熟 T. testudinum 草甸(圖1d)
方法組合:
穩定硫同位素(δ3?S):分析葉、分生組織、根莖、根組織硫源(圖2)。
Unisense微電極:實時監測葉片/分生組織O?與H?S動態(圖5)。
環境參數:沉積物孔隙水H?S、水柱O?、光照、溫度等。


4. 測量數據及其意義
關鍵數據與來源
數據類型 來源圖表 研究意義
組織δ3?S與總硫含量 圖2a-b 裸沙幼苗δ3?S更高(葉:+25‰,根莖:+50%),表明其H?S暴露低于草甸植株,根系發育延遲減少硫侵入。
根系發育 表1 裸沙幼苗70%無根,根生物量比草甸低6倍,限制產H?S微生物群落。
葉片/分生組織O?動態 圖5、表5 幼苗葉片日間O?峰壓達40 kPa(海水飽和值2倍),分生組織夜間缺氧時間長(5.1 h),但無H?S積累。
O?變化速率 表5 幼苗葉片O?上升速率(7 kPa/h)與草甸相當,但分生組織O?夜間下降更快(-2.19 kPa/h)。
水柱O?與潮汐關聯 圖6 夜間漲潮提升水柱O?(>7 kPa),通過葉片擴散補充內部O?,緩解分生組織缺氧。






5. 核心結論
幼苗抗H?S機制:
日間氧化:高效光合在分生組織維持高O?(25 kPa),抑制H?S入侵。
夜間潮汐輔助:水柱O?通過葉片擴散(圖6),抵消夜間缺氧風險。
根系策略:延遲根系發育減少沉積物微生物產H?S(表1)。
恢復潛力:幼苗可在高H?S裸沙定植,但草甸完全恢復需>10年。
管理意義:保護潮汐動態與水質是支持海草恢復的關鍵。

6. Unisense電極數據的深度解讀
測量方法
技術:Unisense O?/H?S微電極插入葉片和分生組織(175 μm深度),同步記錄光照、溫度、水柱O?。
校準:
O?電極:100%飽和海水 vs 無氧抗壞血酸溶液兩點校準。
H?S電極:0–1000 μM Na?S梯度校準(pH=7.5確保H?S形態)。
創新點:首次在野外實時量化幼苗內部O?/H?S動態,揭示潮汐對內部氧化的調控作用。
關鍵結果(圖5, 表5)
日間O?動態:
葉片O?在光照后20分鐘內快速上升(7 kPa/h),峰壓達40 kPa(圖5)。
分生組織O?上升滯后1.7小時,峰壓為葉片的60%(25 kPa),但仍足以抑制H?S積累。
夜間風險:
分生組織夜間缺氧(<1.5 kPa)持續5.1小時(表5),但未檢測到H?S。
葉片O?通過水柱擴散維持(3–10 kPa),漲潮時提升50%(圖6)。
H?S檢測:所有監測中分生組織H?S=0,印證δ3?S顯示的低暴露。
研究意義
機制驗證:直接證明幼苗通過“O?緩沖區”抵御H?S,挑戰傳統“高H?S限制恢復”假說。
潮汐作用:揭示水柱O?夜間通過葉片擴散是內部氧化的關鍵途徑(圖6)。
恢復策略:幼苗根系延遲發育是適應性策略(非缺陷),為海草修復提供新視角——優先保護幼苗定植期環境穩定。
技術優勢:Unisense的高時空分辨率捕捉O?脈沖變化(如晨間快速上升),這是破壞性采樣無法實現的。
總結
本研究通過整合Unisense微電極、δ3?S同位素和發育生物學方法,揭示 T. testudinum 幼苗在高H?S環境中的三重抗性機制:日間光合產氧、夜間潮汐供氧、根系發育延遲。Unisense數據為核心結論提供直接證據——盡管分生組織夜間長期缺氧,但高效氧化和潮汐輔助阻止H?S積累。該研究為海草生態修復提供了關鍵生理依據:維持水柱O?和自然潮汐動態比直接降低沉積物H?S更為重要。