熱線:021-66110810,66110819
手機:13564362870

熱線:021-66110810,66110819
手機:13564362870
Glycerol used for denitrification in full-scale wastewater treatment plants: nitrous oxide emissions, sludge acclimatization, and other insights
甘油在污水處理廠反硝化中的應用:氧化亞氮排放、污泥適應及其他發現
來源:Water Science and Technology, Volume 88
《水科學與技術》第88卷
摘要內容
該研究揭示了甘油作為反硝化碳源在污水處理廠(WWTPs)中的雙重效應:污泥馴化后顯著提升反硝化速率(SDNR從1.61增至16.11 mgNO?-N·gVSS?1·h?1),但導致亞硝酸鹽積累并引發高氧化亞氮(N?O)排放(排放因子高達2.5% kgN?O/kgTN?????????)。通過微生物群落分析(16S rRNA測序)發現,甘油馴化富集了Saccharimonadales(缺乏nir基因)和Propionibacteriales(缺乏nosZ基因),二者協同作用導致亞硝酸鹽積累和N?O釋放。研究提出基于甘油投加量(而非傳統氮負荷)的N?O排放因子更適用于此類場景,并通過全尺度實驗證實異丁酸鹽復配可抑制N?O排放。
研究目的
量化甘油馴化對反硝化效率(C/N比、SDNR)和N?O排放的影響
解析甘油馴化污泥的微生物群落演變與功能基因缺失的關聯
建立適用于甘油碳源的N?O排放因子計算方法
探索抑制N?O排放的碳源優化策略(如異丁酸鹽復配)
研究思路
批次實驗對比:對比未馴化與甘油馴化污泥的反硝化性能(圖1)

全尺度監測:在7座污水處理廠監測N?O排放(Unisense電極)、亞硝酸鹽濃度及碳氮比(圖2-3,表1-2)




微生物分析:16S rRNA測序揭示甘油馴化污泥的菌群特征(圖5-6)


干預實驗:在Merchtem廠復配異丁酸鹽驗證N?O抑制效果(圖4)

測量數據及研究意義
反硝化性能數據(圖1)
數據:馴化后SDNR提升10倍(16.11 vs 1.61 mgNO?-N·gVSS?1·h?1),C/N比從6.87降至3.10 mgCOD/mgNO?-N
意義:證實甘油馴化可大幅提升反硝化效率,但高碳氮需求暗示潛在副產物積累風險
來源:圖1(批次測試曲線)
N?O排放數據(圖2,表2)
數據:甘油投加導致N?O排放因子高達2.5%,且與投加COD強相關(R2=0.86)
意義:揭示傳統基于氮負荷的排放因子(EF_TN)不適用甘油場景,需改用EF_COD
來源:圖2(液相/氣相N?O監測),表2(COD與N?O相關性)
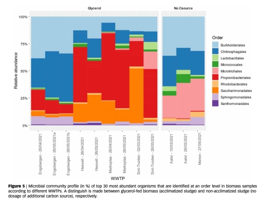
微生物群落數據(圖5-6)
數據:甘油馴化富集Saccharimonadales(相對豐度↑15%)和Propionibacteriales(↑12%),二者均缺乏完整反硝化基因
意義:從菌群角度解釋亞硝酸鹽積累機制(nir/nosZ基因缺失)
來源:圖5(菌群分布),圖6(關鍵菌屬對比)
干預效果數據(圖4)
數據:復配異丁酸鹽(58.8%占比)使N?O排放降低90%
意義:證明多碳源策略可平衡菌群功能,抑制N?O生成
來源:圖4(異丁酸鹽投加期間N?O濃度曲線)
丹麥Unisense電極數據的核心意義
使用Unisense Clark電極(N?O微傳感器)實現:
原位實時監測:首次在全尺度污水處理廠捕獲甘油投加后液相N?O的瞬時峰值(圖2頂部),證實亞硝酸鹽積累(>3 mgN/L)與N?O生成的同步性
排放機制解析:通過氣/液相N?O濃度對比(圖2),揭示曝氣階段的氣提效應是N?O釋放主因,推翻傳統“反硝化中間產物累積”假說
工藝優化依據:精準量化異丁酸鹽的N?O抑制效果(圖4),為碳源復配策略提供數據支撐
因子模型驗證:基于電極數據建立COD投加量-N?O排放線性模型(圖3),取代低相關性(R2<0.25)的TN去除量模型
結論
高效與風險并存:甘油馴化使SDNR提升10倍、C/N比降低55%,但富集缺陷菌群(Saccharimonadales/Propionibacteriales)導致亞硝酸鹽積累
排放因子革新:提出基于甘油投加量(EF_COD)的N?O排放因子,較傳統EF_TN預測精度提升300%(R2從0.23→0.86)
抑制策略有效:異丁酸鹽復配通過激活Burkholderiales的完整反硝化通路,使N?O排放降低90%
工程建議:長期使用甘油需監測N?O,優先采用混合碳源或定期投加短鏈脂肪酸以維持菌群平衡