熱線:021-66110810,66110819
手機:13564362870

熱線:021-66110810,66110819
手機:13564362870
The response mechanism of microorganisms to the organic carbon-driven formation of black and odorous water
微生物對有機碳驅動黑臭水體形成的響應機制
來源:Environmental Research, Volume 231, 2023, Article 116255
《環境研究》第231卷,2023年,文章ID 116255
摘要內容
摘要指出黑臭水體的形成受有機質和環境因素共同影響,但微生物在其中的作用研究有限。通過室內模擬實驗,發現當溶解性有機碳(DOC)達到50 mg/L時,水體變黑發臭。此過程中:
水體微生物群落結構顯著變化,脫硫菌門(Desulfobacterota)相對豐度顯著增加,其中脫硫弧菌屬(Desulfovibrio)為主要優勢菌屬。
水體微生物α多樣性顯著下降,硫化合物呼吸功能增強;而沉積物微生物群落變化較小,功能保持穩定。
偏最小二乘路徑模型(PLS-PM)表明,有機碳通過降低溶解氧(DO)和改變微生物群落驅動黑臭形成,且水體中脫硫菌門的貢獻高于沉積物。
研究提出可通過控制DOC濃度和抑制水體中脫硫菌門生長來預防黑臭水體形成。
研究目的
明確有機碳驅動下微生物在水體和沉積物中對黑臭形成過程的響應機制,揭示關鍵微生物群落及功能變化特征。
研究思路
實驗設計:構建水-沉積物微生態系統(沉積物深度60 cm,上覆水深度80 cm),添加葡萄糖模擬不同DOC濃度(0、10、25、50、100、200 mg/L)。
監測指標:
理化參數:DO、pH、氧化還原電位(ORP)、濁度、葉綠素a、H?S、SO?2?等(圖1)。

氣體排放:CO?和CH?排放速率(圖1K、L)。
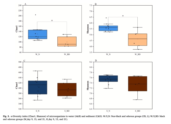
微生物群落:選取典型組別(0、25、50、200 mg/L DOC)的水體和沉積物樣本,進行16S rRNA高通量測序(圖2、3)。


微生物功能:通過FAPROTAX數據庫預測功能(圖4)。

數據分析:結合物化參數與微生物數據,利用PLS-PM模型解析驅動路徑(圖6)。

測量數據及其研究意義
理化參數(圖1):
DO、ORP、H?S:用于表征水體缺氧程度和還原性物質生成。
濁度、葉綠素a:指示藻類死亡和懸浮顆粒物積累。
意義:明確DOC≥50 mg/L時水體進入黑臭狀態(DO<0.5 mg/L,ORP<-150 mV,H?S驟升)。
溫室氣體排放(圖1K、L):
CO?和CH?排放速率。
意義:證實有機碳降解加劇溫室效應,且CH?排放滯后與硫酸鹽還原菌競爭電子供體有關。
微生物群落(圖2、3):
水體中脫硫菌門豐度(Desulfobacterota)及脫硫弧菌屬(Desulfovibrio)變化。
α多樣性指數(Chao1、Shannon)。
意義:揭示DOC驅動下水體微生物從好氧菌主導轉為厭氧菌(尤其是脫硫弧菌屬)主導,多樣性下降。
微生物功能(圖4):
FAPROTAX預測的硫呼吸、硫酸鹽還原等功能。
意義:水體微生物功能轉向硫化合物呼吸,沉積物功能穩定性較高。
丹麥Unisense電極測量數據的研究意義
使用丹麥Unisense微電極原位監測水體和沉積物的ORP和H?S(圖1G-J),意義在于:
高時空分辨率:實時捕捉水-沉積物界面的氧化還原梯度動態,準確識別厭氧過程啟動點(如DOC=50 mg/L組第15天ORP驟降至-103.35 mV)。
揭示相間差異:發現H?S濃度在水體中顯著高于沉積物(最高達162.50 μmol/L),且水體ORP下降速率更快,表明有機碳對水體的直接影響更強。
關聯微生物活動:H?S峰值與脫硫菌門豐度增加同步(圖2B),直接驗證硫酸鹽還原菌的代謝活性是黑臭形成的核心生物驅動因素。
量化閾值:結合ORP和H?S數據,明確DOC≥50 mg/L時水體進入黑臭狀態(ORP<-150 mV,H?S>35 μmol/L),為預警提供關鍵指標。
結論
閾值與驅動機制:DOC≥50 mg/L驅動水體黑臭,其程度與DOC濃度正相關。
微生物響應差異:
水體微生物群落劇變:脫硫菌門(以脫硫弧菌屬為主)豐度顯著增加,α多樣性下降,功能轉向硫呼吸。
沉積物微生物結構及功能穩定。
關鍵路徑:PLS-PM模型(圖6)證實有機碳通過降低DO和改變微生物群落驅動黑臭,且水體中脫硫菌門的貢獻(路徑系數0.53)高于沉積物。
應用建議:控制DOC輸入,并針對性抑制水體中脫硫菌門活性,可有效預防黑臭形成。