熱線:021-66110810,66110819
手機:13564362870

熱線:021-66110810,66110819
手機:13564362870
The acute effects of rumen pulse-dosing of hydrogen acceptors during methane inhibition with nitrate or 3-nitrooxypropanol in dairy cows
奶牛使用硝酸鹽或3-硝基氧丙醇抑制甲烷期間瘤胃脈沖投加氫受體的急性效應
來源:Journal of Dairy Science, Volume 107, Pages 5681-5698,
《乳品科學雜志》第107卷,第5681-5698頁
摘要內容:
本研究通過兩個獨立實驗(硝酸鹽與3-硝基氧丙醇(3-NOP)作為甲烷抑制劑),評估了脈沖投加氫受體(富馬酸、丙烯酸、間苯三酚)對奶牛瘤胃氫氣(H?)再分配和發酵特性的急性影響。實驗采用4×4拉丁方設計,測量了氣體排放(呼吸室)、瘤胃氣體組成及揮發性脂肪酸(VFA)變化。結果顯示:
丙烯酸顯著降低干物質采食量(DMI),而富馬酸和間苯三酚無影響。
富馬酸和丙烯酸在3-NOP處理中顯著增加瘤胃丙酸比例(最高+5.2%),但對H?排放無持續影響。
溶解H?與排放H?相關性弱(r=0.41),表明排放H?不能準確反映瘤胃液相H?濃度。
間苯三酚未改變瘤胃乙酸或H?指標,但增加瘤胃甲醇濃度2.2倍。
研究目的:
驗證在甲烷(CH?)抑制條件下(硝酸鹽或3-NOP),脈沖投加氫受體能否有效捕獲過剩H?,轉化為丙酸或乙酸,從而優化瘤胃發酵并減少H?排放。
研究思路:
雙實驗設計:
實驗1:硝酸鹽(15 g/kg DM)為基礎抑制劑,投加富馬酸(FUM-1)、丙烯酸(ACR-1)、混合酸(FUM+ACR-1)或對照(CON-1)。
實驗2:3-NOP(60 mg/kg DM)為基礎抑制劑,投加富馬酸(FUM-2)、丙烯酸(ACR-2)、間苯三酚(PHL-2)或對照(CON-2)。
脈沖投加:氫受體每日兩次經瘤胃瘺管投加,同步監測投加后0-7小時動態變化。
多維度測量:
氣體排放:呼吸室連續監測CH?、H?、CO?。
瘤胃參數:VFA組成、溶解氣體(Unisense電極)、頭空間氣體、有機酸及醇類。
血液指標:血漿醇類濃度。
測量數據及研究意義:
氣體排放(表2,圖1)


數據:丙烯酸(ACR-1/2)降低CO?產量(實驗1:-11%,實驗2:-24%),富馬酸(FUM-2)降低H?排放率(投喂后1小時,-38%)。
意義:證實丙烯酸抑制發酵活性,富馬酸短期促進H?利用。
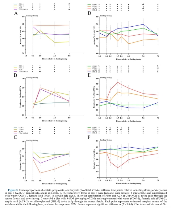
瘤胃VFA(表3,表4,圖2)



數據:富馬酸和丙烯酸增加丙酸比例(FUM-2:+3.2%,ACR-2:+5.0%),降低丁酸(ACR-2:-2.9%)。
意義:H?受體將過剩電子導向丙酸合成,提升能量利用效率。
溶解氣體(圖3)

數據:溶解CH?與排放CH?強相關(r=0.84),溶解H?與排放H?相關性弱(r=0.41)。
意義:排放H?不能真實反映瘤胃H?濃度,需直接測量溶解相(Unisense電極)。
瘤胃醇類(表4)
數據:間苯三酚(PHL-2)增加瘤胃甲醇濃度2.2倍,血漿甲醇濃度3.9倍。
意義:間苯三酚代謝可能產生甲醇副產物,需關注潛在毒性。
結論:
H?再分配有效性:富馬酸和丙烯酸可短期將H?導向丙酸合成(3-NOP組效果更佳),但未持續降低H?排放。
監測方法局限:排放H?與瘤胃溶解H?相關性弱(r=0.28),氣相監測可能低估實際H?代謝變化。
抑制劑差異:3-NOP比硝酸鹽更利于H?受體發揮作用(丙酸增幅更大)。
間苯三酚無效:未改變乙酸比例或H?指標,且增加甲醇積累風險。
丹麥Unisense電極數據的詳細研究意義:
技術原理:
采用電化學微傳感器(OX-MR),直接測量瘤胃液溶解CH?和H?濃度(檢測限0.3 μM,響應時間1-3秒)。
通過亨利常數和本生吸收系數計算氣相-液相平衡,規避氣相監測的滯后性。
關鍵發現:
溶解相與氣相解耦:H?在瘤胃液呈過飽和狀態,溶解H?濃度(均值131-258 μM)與排放H?無顯著關聯(r=0.28),而CH?溶解相與排放強相關(r=0.68)(圖3B vs 3A)。
動力學差異:H?從液相向氣相傳質速率快(因低溶解度),導致排放峰值短暫(投喂后1小時),無法反映累積H?量(圖1E)。
應用價值:
糾正監測偏差:證實傳統頭空間/排放H?監測可能誤導H?代謝評估(如本研究中H?排放無變化但溶解H?波動顯著)。
優化實驗設計:未來研究需結合溶解相測量(如Unisense電極)以準確量化H?再分配效率。
局限與啟示:
電極需瘤胃瘺管支持,限制大群體應用。
溶解H?動態變化(投喂后5小時內波動達80%)提示需高時間分辨率采樣。