熱線:021-66110810,66110819
手機:13564362870

熱線:021-66110810,66110819
手機:13564362870
Temporal and spatial variations in benthic nitrogen cycling in a temperate macro-tidal coastal ecosystem: Observation and modeling
溫帶大型潮汐海岸生態系統中底棲氮循環的時空變化:觀測與模擬
來源:Continental Shelf Research, 235 (2022) 104649
《大陸架研究》第235卷,2022年,文章編號104649
摘要內容
研究通過現場觀測、實驗室測量和反應輸運模型(RTM),探究了法國富營養化溫帶大型潮汐海灣——Vilaine灣(VB)底棲氮(N)循環的時空變化。基于2015年單站時間序列(6次)和2016年多站空間調查的數據分析表明:
底棲銨(NH??)通量在春季(硅藻水華后)達50 μmol m?2 h?1,夏季降至<10 μmol m?2 h?1;溶解有機氮(DON)通量變化趨勢類似(春季100 μmol m?2 h?1,夏季近零)。
沉積物-水界面(SWI)的有機質(OM)礦化以好氧途徑為主(占總礦化率75%),硅藻水華沉降的易分解有機質(OM1)主導銨和DON釋放。
硝酸鹽(NO??)通量受上覆水濃度和硝化作用調控,2016年夏季水華伴隨底層水缺氧(最低96 μM),此時OM礦化轉向硫酸鹽還原途徑。
RTM模型成功模擬了溶解無機氮(DIN)通量時空變化,證實沉積物貢獻了河流輸入15-30%的DIN,加劇海灣富營養化風險。
研究目的
闡明Vilaine灣底棲氮循環的時空動態機制,量化沉積物對水體營養鹽再生的貢獻,為預測水華誘導的底層水缺氧提供理論依據。
研究思路
時空觀測設計:
時間序列(2015年4-9月):Nord Dumet(ND)站每月采集沉積物柱樣(圖1),測定孔隙水DIN/DON剖面(圖4)、底棲通量(圖5)及硝化/反硝化速率。



空間調查(2016年7月):4個站點(圖1)同步測定底棲通量,結合表層沉積物有機碳(Corg)、總氮(TN)等空間分布。
多參數監測:
水體:溫度、鹽度、溶解氧(O?)、營養鹽、葉綠素a(Chl a)(圖2)。

沉積物:粒度、孔隙度、Corg、TN、生物硅(BSi)、Chl a含量(圖3)。

模型模擬:
建立反應輸運模型(RTM),模擬OM礦化路徑(表1)及N轉化過程(表2),擬合實測通量(圖5)與孔隙水剖面(圖4)。


敏感性分析評估關鍵參數對通量的影響(圖7,8)。


測量數據及研究意義
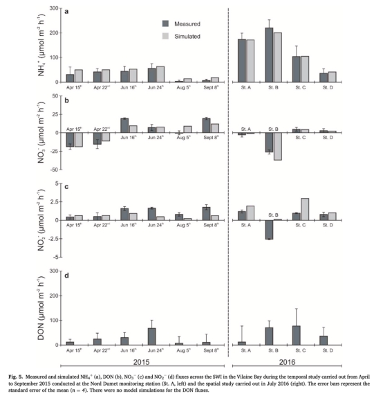
底棲通量(圖5):
NH??通量與沉積物表層Chl a顯著正相關(r=0.82, p<0.05),證實硅藻水華驅動銨釋放(圖6a)。

DON通量占溶解氮通量50%,與NH??通量協同變化(r=0.82, p<0.05)(圖6b),揭示OM降解中DON釋放的重要性。
NO??通量方向(向沉積物或水體)受上覆水NO??濃度和硝化作用調控,空間差異反映局部水動力與生物地球化學過程耦合。
意義:首次量化VB灣DON通量貢獻,闡明水華事件對底棲氮形態輸出的差異化影響。
孔隙水剖面(圖4):
O?在沉積物表層2 mm內耗竭(圖4a),指示好氧礦化集中在SWI。
NH??在0-5 cm呈正梯度(圖4b),深層濃度穩定(~300 μM),反映OM礦化深度分布。
NO??在春季呈負梯度(向沉積物遷移),夏季表層出現峰值(12 μM),與硝化活動匹配。
意義:揭示氧化層厚度及氮遷移路徑,為模型參數化提供關鍵約束。
沉積物特性(圖3):
Corg(1.6% DW)和TN(0.2% DW)無顯著時空變化,但BSi和表層Chl a空間異質性高,指向西北部為硅藻沉積熱點。
意義:空間分布關聯水華沉降模式,解釋底棲通量區域差異。
硝化/反硝化速率(表2):
潛在硝化速率與實測NH??通量同步變化(6月峰值28.0 μmol N m?2 h?1),受OM礦化驅動。
反硝化速率受NO??供應限制,與硝化作用耦合。
意義:驗證好氧過程主導氮轉化,為模型預測DNRA貢獻率(5%)提供依據。
結論
硅藻水華驅動通量變化:沉降的OM1在SWI快速好氧礦化,釋放大量NH??和DON(春季通量最高),夏季水華可誘發底層水缺氧。
DON的重要性:占溶解氮通量50%,與NH??協同釋放,但當前RTM未整合DON循環。
沉積物對富營養化的貢獻:底棲DIN通量相當于河流輸入量的15-30%,加劇水體營養鹽負荷。
模型預測能力:RTM成功模擬時空通量變化,識別OM輸入量為關鍵控制因子(圖7),為生態模型提供參數化方案。
丹麥Unisense電極測量數據的詳細研究意義
使用丹麥Unisense微電極系統(OX500傳感器 + PA2000皮安計 + MM33微操縱器)測量沉積物O?微剖面(圖4a)的核心價值包括:
毫米級分辨率界定氧化層:
實測O?在0-2 mm深度內急劇降至檢測限以下(圖4a),精確量化SWI好氧區厚度(<2 mm),指示OM好氧礦化空間范圍。
技術優勢:非破壞性原位測量避免沉積物擾動,分辨率達亞毫米級,傳統采樣法無法實現。
實時監測培養過程:
在底棲通量培養實驗中,持續監測上覆水O?濃度,確保其不低于初始值80%,防止實驗缺氧偏離現場條件。
校準SWI位置:
通過O?濃度梯度突變點(圖4a虛線)視覺判定沉積物-水界面,提高孔隙水采樣深度準確性。
缺氧事件診斷:
2016年7月St. B站底層水O?最低值(96 μM)的測量,直接證實硅藻水華降解誘發季節性缺氧,為模型模擬提供關鍵邊界條件。
總結:該研究通過多尺度數據闡明硅藻水華沉降對底棲氮循環的調控機制,強調整合沉積物-水界面過程對預測海岸帶缺氧事件的重要性。