熱線:021-66110810,66110819
手機:13564362870

熱線:021-66110810,66110819
手機:13564362870
Coupling of membrane-based bubbleless micro-aeration for 2,4-dinitro-phenol degradation in a hydrolysis acidification reactor
膜基無泡微曝氣耦合水解酸化反應器降解2,4-二硝基苯酚
來源:Water Research 212 (2022) 118119
《水研究》第212卷,2022年,文章編號118119
摘要核心內容:
本研究開發了膜基無泡微曝氣耦合水解酸化(MBL-MHA)工藝,用于高效降解有毒難降解污染物2,4-二硝基苯酚(2,4-DNP)。通過對比傳統氣泡微曝氣(MHA)和厭氧水解酸化(HA),發現MBL-MHA在微曝氣速率0.5-5.0 mL空氣/min下,2,4-DNP降解率(84.43-97.28%)顯著高于MHA(82.41-94.71%)。MBL-MHA中反擴散傳質形成的氧化還原微環境(生物膜內部微好氧/外部厭氧)促進功能菌富集(如脫氮單胞菌Brevundimonas 7.53%、亞硝化單胞菌Nitrosomonas 2.95%),上調氧化還原蛋白表達,實現2,4-DNP的硝基還原→脫氨基→芳環裂解→發酵降解路徑。
研究目的:
解決傳統微曝氣水解酸化工藝中溶解氧控制精度低、氧傳遞效率差的問題,開發膜基無泡曝氣技術以優化2,4-DNP降解性能,闡明其微生物機制與代謝路徑。
研究思路:
1. 系統構建:設計三組對比反應器(MBL-MHA、MHA、厭氧HA),MBL-MHA采用PVDF中空纖維膜實現無泡曝氣(圖1)

2. 條件優化:分三階段(I:0.5 mL/min, II:3.0 mL/min, III:5.0 mL/min)測試不同曝氣速率下2,4-DNP降解性能(圖2)

3. 機制解析:
? 微環境表征:Unisense微電極測量生物膜DO/ORP梯度(圖3)

? 微生物分析:16S rRNA測序揭示菌群結構差異(圖6)

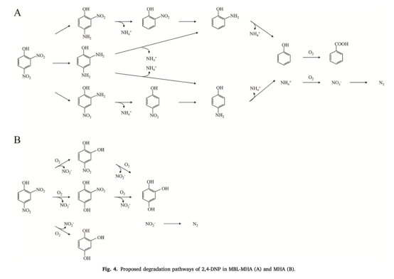
? 代謝路徑:LC-MS鑒定降解中間產物(圖4),蛋白質組學分析功能蛋白表達(圖7)


4. 性能對比:綜合評估降解效率、酸化度(AD)、氧利用率等指標
測量數據及研究意義:
1. 降解效率(圖2)
? 數據:MBL-MHA在3.0 mL/min曝氣下2,4-DNP降解率97.28% vs MHA 94.71%
? 意義:證實膜基無泡曝氣通過反擴散傳質提升氧利用率,降解效率優于氣泡曝氣
2. 生物膜微環境(圖3)
? 數據:MBL-MHA生物膜表層DO=0 mg/L(厭氧),膜界面處DO=0.28 mg/L(微好氧)
? 意義:反擴散形成從厭氧到微好氧的梯度結構,支持分區降解(厭氧區硝基還原+微好氧區芳環裂解)
3. 微生物群落(圖6)
? 數據:MBL-MHA富集脫氮功能菌(Brevundimonas 7.53% vs MHA 0.01%)
? 意義:反擴散微環境促進功能菌空間分選,提升協同降解能力
4. 胞外聚合物(EPS)特性(圖5)

? 數據:MBL-MHA的TB-EPS蛋白質含量較MHA高1.8倍
? 意義:高蛋白EPS增強生物膜吸附能力,提供電子傳遞介質
結論:
1. 膜基無泡曝氣(MBL-MHA)通過反擴散形成DO梯度微環境(膜界面0.28 mg DO/L→生物膜表層0 mg DO/L),優化菌群空間分布
2. 關鍵降解路徑:2,4-DNP→2,4-二氨基苯酚(硝基還原)→酚(脫氨基)→琥珀酸(芳環裂解)→乙酸(發酵),中間產物毒性顯著降低
3. 最佳操作參數:曝氣速率3.0 mL/min,此時氧通量0.0372 μmol cm?2 h?1(表1),較氣泡曝氣(0.0350 μmol cm?2 h?1)提升6.3%

4. 微生物機制:反擴散微環境富集脫氮單胞菌(Brevundimonas)和亞硝化單胞菌(Nitrosomonas),上調NADH醌氧化還原酶等關鍵蛋白表達
丹麥Unisense電極測量數據的核心研究意義:
采用Unisense DO/ORP微電極(尖端直徑<10 μm)實現生物膜內部微環境原位解析:
1. 空間分辨率優勢(圖3)
? 數據:精確測量生物膜不同深度(0-1500 μm)的DO/ORP梯度(步進精度20 μm)
? 意義:首次量化MBL-MHA的反擴散微環境(DO從膜面向外遞減),揭示其優于MHA的共擴散結構
2. 氧傳遞效率量化(表1)
? 數據:MBL-MHA在3.0 mL/min曝氣下氧通量0.0372 μmol cm?2 h?1,較MHA高6.3%
? 意義:直接證明無泡曝氣提升氧傳遞效率,解釋降解性能差異
3. 工藝優化指導
? 數據:曝氣>5.0 mL/min時生物膜內部DO>0.4 mg/L,抑制厭氧菌活性(降解率下降至82.2%)
? 意義:確定最佳曝氣閾值(3.0 mL/min),避免過度曝氣破壞厭氧/好氧菌平衡
4. 技術獨特性
? 非侵入式測量:避免破壞生物膜結構,獲取真實微環境數據
? 實時動態監測:秒級響應捕捉DO/ORP瞬變,揭示微生物響應機制