熱線:021-66110810,66110819
手機:13564362870

熱線:021-66110810,66110819
手機:13564362870
Carbonate chemistry in the microenvironment within cyanobacterial aggregates under present-day and future pCO2 levels
當前和未來 pCO 2 水平下藍藻聚集體微環境中的碳酸鹽化學
來源:Limnol. Oceanogr. 67, 2022, 203–218 《湖泊與海洋學》第67卷,2022年,203-218頁 ;Carbonate chemistry in cyanobacterial aggregates 204 19395590, 2022, 1
摘要核心發現
研究通過微電極技術揭示藍藻聚集體內部碳酸鹽化學特征:
CO?極端消耗:光合作用使聚集體中心CO?降至0.5 μmol/L(現況pCO?)
酸化放大效應:未來高pCO?下質子梯度增強2.1-5.0倍(表3)

CCM能耗變化:酸化條件下HCO??轉運貢獻降低10倍(表5)

區域差異:波羅的海低堿度水體比太平洋更易受酸化影響(圖5)

研究目的
量化現況與未來pCO?水平下藍藻聚集體內部碳酸鹽化學梯度
揭示擴散-反應過程對微環境CO?/HCO??分布的調控機制
評估區域海水化學特性(波羅的海vs太平洋)對酸化響應的調節作用
研究思路與技術路線
graph LR
A[野外采樣] --> B[藍藻聚集體:<br>波羅的海Nodularia/Dolichospermum<br>vs太平洋Trichodesmium]
B --> C1[微電極原位監測:<br>O?/pH梯度(Unisense)]
B --> C2[碳酸鹽系統建模:<br>CO?/HCO??/H?擴散-反應模型]
C1 & C2 --> D[酸化脅迫實驗:<br>現況(350μatm) vs 未來(1000μatm)pCO?]
D --> E[機制解析:<br>CCM能耗·緩沖能力·區域差異]
生成失敗,換個方式問問吧
關鍵數據及科學價值
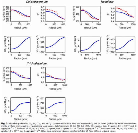
1. 微環境梯度特征(圖3)

數據來源:Unisense微電極剖面測量
核心發現:
O?梯度:暗態80%→光態175%空氣飽和度
pH梯度:暗態7.7→光態9.4(Δ[H?]=11 nmol/L)
意義:首次量化聚集體內部光合活性層厚度(120μm)
2. 酸化響應規律(表3)
數據來源:pCO?突變實驗(350→1000μatm)
核心發現:
光合速率下降30%(10/12樣本)
質子梯度擴增因子:2.1(Dolichospermum)→5.0(Nodularia)
意義:揭示酸化對藍藻生理的“雙重抑制”(直接毒性+緩沖能力下降)
3. 區域差異模型(圖5)
數據來源:擴散-反應模型計算
核心發現:
波羅的海聚集體中心CO?:現況3.5μmol/L → 未來11.0μmol/L
太平洋聚集體中心CO?:現況9.3μmol/L → 未來21.4μmol/L
意義:證實低堿度海域更易受酸化影響(梯度變化幅度+214%)
丹麥Unisense電極的核心突破
技術優勢
空間分辨率:10μm步進(O?電極)→ 精準定位光合活性層
時間分辨率:pH電極響應<10秒 → 捕捉光暗轉換瞬態過程
原位無損:流式系統維持自然聚集體結構(圖2b-d)

關鍵發現
CCM運行閾值(圖3):
當中心CO?<1μmol/L時,藍藻啟動HCO??轉運(能耗增加)
酸化使CO?閾值提升3倍→降低CCM能耗(表5)
晝夜節律機制:
暗呼吸導致夜間中心pH驟降0.8單位(表2)
揭示氮酶活性受夜間低pH抑制的風險

酸化放大效應:
相同光合速率下,未來pCO?使質子梯度擴增214%(圖4c,f)

證實低緩沖能力海域酸化效應更強(波羅的海vs太平洋)
理論創新:通過μm級實時監測,首次建立碳酸鹽化學三維響應模型,推翻“均勻響應”假說,揭示聚集體內部酸化響應的空間異質性。
結論
微環境極端化:聚集體中心CO?可降至環境值的1/7(現況)
酸化雙重效應:直接抑制光合 + 通過降低緩沖能力放大質子梯度
區域脆弱性:低堿度的波羅的海比太平洋更易受酸化沖擊
避難所效應:聚集體內部日間高pH可部分抵消酸化負面影響
Unisense電極的應用價值
環境監測:成為評估海洋酸化生物效應的金標準
生態預測:解析藍藻聚集體作為“碳泵”的微觀機制
技術拓展:為珊瑚/貝類等鈣化生物的酸化研究提供方法學范式
前瞻方向:結合微電極陣列與單細胞測序,解析微化學梯度-基因表達的耦合規律,構建酸化響應的跨尺度預測模型。