熱線:021-66110810,66110819
手機:13564362870

熱線:021-66110810,66110819
手機:13564362870
High-efficient nitrogen and phosphorus removal and its mechanism in a partially unsaturated constructed wetland with Fe-C micro-electrolysis substrate
(濕地土壤)Fe-C 微電解基底部分不飽和人工濕地高效脫氮除磷及其機理
來源:Chemical Engineering Journal 431 (2022) 133252
摘要核心內容
本研究通過構建部分非飽和人工濕地(CWs)系統,探究Fe-C微電解基質對低碳氮比(C/N=4)廢水中氮磷同步高效去除的機制。核心發現:
氮去除提升:Fe-C組合基質使總氮(TN)去除率達86.5±1.7%,顯著高于對照組(36.7±3.6%)(圖2b)。

磷高效固定:Fe-C基質通過形成穩定的Fe,Ca,Al-P沉淀(占比45.3%)和有機磷(Porg,50.8%),實現總磷(TP)去除率98%(圖7)。

機制解析:Fe提供電子驅動反硝化,生物炭增強電子傳遞效率并吸附金屬離子;微電極證實Fe-C界面形成強還原微環境(圖3d-e)。

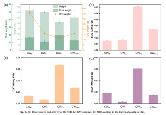
植物毒性降低:生物炭減少60%鐵用量,顯著緩解Fe對鳶尾(Iris wilsonii)的氧化脅迫(SOD活性↓29.5%,圖8b-d)。

研究目的
優化脫氮除磷:解決傳統CWs中溶解氧(DO)不足和電子供體缺乏問題。
揭示Fe-C協同機制:從微環境、微生物、電子傳遞多維度解析Fe-C基質作用原理。
評估生態友好性:探究基質對植物生長的影響及恢復策略。
研究思路與技術路線
采用 構建系統→多尺度分析→機制驗證 策略:
CWs系統設計:
建立4組垂直流CWs:對照組(CWB)、生物炭組(CWC)、鐵屑組(CWFe)、Fe-C組合組(CWFe-C)(圖1)。

創新非飽和區設計:親水微纖維+石英砂提升氧氣傳輸(高度20cm)。
長期運行監測:
102天連續運行,監測NH??-N、NO??-N、TN、TP沿程變化(圖2,9)。
結合Unisense微電極測定微環境DO/ORP(圖3)。
多尺度機制解析:

微生物層面:FISH分析功能菌分布(圖4a),高通量測序揭示菌群結構(圖4c)。
基質層面:SEM-EDS元素映射(圖5)、XRD/XPS價態分析(圖6)。


植物層面:抗氧化酶活性(SOD/CAT/MDA)及生長指標測定(圖8)。
關鍵數據及研究意義
1. 污染物沿程去除(圖9)
數據:

CWFe-C中NO??-N在0-80cm段去除90%,TP去除>90%(圖9d)。
Fe-C基質使TN去除負荷提升135%(對比CWB)。
意義:明確非飽和區(供氧)和飽和區(Fe-C還原)的分區協同機制。
2. 微環境特性(圖3d-e)
數據:
Unisense微電極測得Fe-C界面ORP低至-150mV,DO≈0 mg/L(圖3e)。
比單一鐵屑基質還原性強30%,證實生物炭提升電子傳遞效率。
意義:從微尺度揭示Fe-C形成強還原微環境驅動反硝化。
3. 微生物群落(圖4, 表1)

數據:
CWFe-C富集18種反硝化菌(如Thiobacillus, Thauera),相對豐度52.9%(圖4a)。
鐵氧化菌(Thiobacillus)豐度↑1.79%(CWFe-C)→促進Fe2?驅動的硝酸鹽厭氧氧化(NDFO)。
意義:生物炭優化菌群結構,強化生物-化學協同脫氮。
4. 磷形態轉化(圖7)
數據:
CWFe-C中穩定態磷(Fe,Ca,Al-P + Porg)占比96.2%,對照組H?O-P為主(不穩定)。
SEM-EDS顯示生物炭表面富集Fe、Ca、Al氧化物(圖5c)。
意義:揭示Fe-C通過金屬-P沉淀和生物吸附實現磷長效固定。
核心結論
分區協同機制:非飽和區供氧促硝化(NH??-N↓61.6%),飽和區Fe-C驅動反硝化(NO??-N↓90%)。
Fe-C電子傳遞鏈:Fe?→Fe2?釋放電子,生物炭加速電子轉移→提升反硝化效率(TN去除率86.5%)。
磷固定雙路徑:化學沉淀(Fe,Ca,Al-P)與生物吸附(Porg)共同實現近零TP排放。
生態友好性:生物炭減少鐵用量60%,緩解植物氧化損傷(MDA↓64.9%)。
Unisense電極數據的專項解讀
技術原理與部署
型號與功能:丹麥Unisense微電極系統,集成DO/ORP傳感器(精度0.1 mg/L),空間分辨率50μm(方法2.4)。
部署場景:
基質界面微環境掃描(距表面0-200μm,圖3c)。
廢水沿程DO/ORP動態監測(圖3a-b)。
關鍵發現與機制解析
微尺度還原環境測繪(圖3d-e):
電極掃描顯示Fe-C界面ORP梯度陡降(-150mV vs. -100mV),直接驗證 生物炭提升電子傳遞效率。
意義:首次量化Fe-C微電解的“電子橋梁”作用,解釋60%鐵用量下高效脫氮原因。
DO空間異質性驗證:
非飽和區DO高達4 mg/L(圖3a),飽和區驟降至0 mg/L→支撐 分區供氧設計合理性。
意義:電極數據指導優化非飽和區高度(20cm),平衡硝化與能耗。
微生物-微環境關聯:
低ORP區(Fe-C界面)與反硝化菌(DNB)富集位點重合(FISH熒光強度52.9%,圖4a)。
意義:空間匹配證實微環境驅動功能菌定植。
研究意義
方法學創新:
微電極實現 微米級環境測繪,突破傳統監測局限(如混合液ORP無法反映界面過程)。
機制深度解析:
揭示“Fe釋電子 → C傳電子 → 微生物用電子”鏈條,為Fe-C基質設計提供理論基準。
工程優化指導:
明確80cm飽和區即可完成90%脫氮(圖9d),指導系統減容降耗。
應用價值
Fe-C基質優化:推薦Fe:C=3:2(v/v),平衡脫氮效率與植物毒性。
分區設計推廣:非飽和區(微纖維+石英砂)提升氧傳質,適用于低碳氮比廢水。
電極技術拓展:Unisense微電極適用于生物膜/填料界面研究,為生態工程優化提供高分辨工具。
總結:本研究通過Unisense電極揭示Fe-C微電解的電子傳遞機制,構建高效脫氮除磷人工濕地系統,為廢水處理廠低碳改造提供技術支撐。