熱線:021-66110810,66110819
手機:13564362870

熱線:021-66110810,66110819
手機:13564362870
Comprehensive performance, bacterial community structure of single-chamber microbial fuel cell affected by COD/N ratio and physiological stratifications in cathode biofilm
COD/N比對單室微生物燃料電池綜合性能及陰極生物膜生理分層的影響
來源:Bioresource Technology, Volume 320, 2021, Article Number 124416
《生物資源技術》,第320卷,2021年,文章編號124416
摘要內容
本研究通過預富集硝化菌的單室微生物燃料電池(MFC)處理不同化學需氧量/氮比(COD/N)的含銨廢水,并分析陰極生物膜的生理分層。結果表明:低COD/N比(2/1-8/1)廢水處理時NH??-N和總無機氮(TIN)去除率更高(R5達71.9 mg/L),但COD去除穩定性較差;高COD/N比(16/1)廢水COD去除更徹底(17.49 mg/L)。NH??顯著提升電化學性能(R5最大功率密度達1232.54 mW/m2),陽極菌群以Geobacter為主導(占比64-67%)且不受COD/N影響,而陰極菌群結構復雜且對COD/N敏感。
研究目的
探究COD/N比對單室MFC污染物去除效率、電化學性能及電極生物膜菌群結構的影響,并解析陰極生物膜內硝化/反硝化菌的空間分布規律。
研究思路
1. 實驗設計:構建5組預富集硝化菌的單室MFC(R1-R5),分別處理COD/N比為∞(無NH??)、16/1、8/1、4/1、2/1的廢水。
2. 長期運行監測:
? 電化學性能(電壓、功率密度)
? 污染物去除(COD、NH??-N、TIN)
? 出水pH變化
3. 菌群解析:高通量測序分析陽極/陰極生物膜菌群結構。
4. 分層表征:
? 熒光原位雜交(FISH)定量陰極生物膜硝化/反硝化菌垂向分布
? Unisense微電極測量pH微剖面
測量數據及研究意義
1. 電化學性能(圖1)

? 數據:低COD/N組(R5)最大功率密度(1232.54 mW/m2)比無氮組(R1, 790.13 mW/m2)高56%,內阻降低44%(95.85 Ω vs 171.03 Ω)。
? 意義:證實NH??通過降低電荷轉移阻力和提升廢水導電性增強電化學性能。
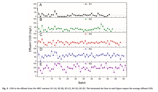
2. 污染物去除(圖2-3)


? 數據:
? NH??-N去除量:R2(42.28 mg/L) < R5(71.91 mg/L)
? COD殘留量:R1(17.49 mg/L) < R5(98.48 mg/L)
? 極化實驗后氮去除恢復時間:R5(13批) > R2(7批)
? 意義:低COD/N促進硝化但抑制反硝化(碳源不足),導致NO??/NO??積累;高COD/N系統抗干擾能力更強。
3. 菌群結構(圖5, 表1)


? 數據:
? 陽極:Geobacter占比穩定(64-67%),Lentimicrobium豐度隨COD/N降低而升高(R1:0.19% → R5:6.48%)
? 陰極:反硝化菌(Petrimonas, Dechlorobacter)在低COD/N下豐度降低,硝化菌(Nitrosomonas)隨NH??濃度增加而富集
? 意義:COD/N顯著改變陰極菌群多樣性(Shannon指數R3:7.19 > R5:6.52),但陽極菌群結構穩定。
4. 陰極生物膜分層(圖6)


? 數據:
? FISH顯示反硝化菌熒光強度(Cy3)隨生物膜深度增加而衰減(R5衰減幅度最大)
? Unisense微電極測R3生物膜pH:表層7.05 → 深層(>200μm)升至7.30
? 意義:揭示O?梯度與pH分布驅動菌群空間異質性——表層反硝化菌主導,深層OH?積累抑制反硝化菌。
丹麥Unisense電極數據的詳細意義
Unisense pH微電極(精度±0.01)用于原位測量陰極生物膜微剖面(圖6F):
1. 數據:
? 生物膜表層(0-200μm)pH=7.05(反硝化產酸區)
? 深層(>200μm)pH升至7.30(O?還原產OH?累積區)
2. 研究意義:
? 揭示生化反應分區:直接驗證陰極附近OH?積累現象(Eq.2),解釋高pH環境對反硝化菌的抑制機制。
? 關聯菌群分布:pH梯度與FISH數據耦合,證實深層高pH區域反硝化菌豐度衰減(R5衰減率最高達45%)。
? 優化MFC設計:為調控生物膜厚度/結構以平衡硝化-反硝化提供理論依據(如控制膜厚<200μm可避免OH?過度累積)。
結論
1. COD/N的權衡效應:
? 低COD/N(2/1-4/1)提升NH??-N去除(71.9 mg/L)和功率密度(1232 mW/m2),但COD殘留高(98.5 mg/L)且恢復能力差。
? 高COD/N(16/1)保障COD徹底去除(17.5 mg/L)及運行穩定性。
2. 菌群響應機制:
? 陽極菌群以Geobacter為核心(>64%),抗NH??抑制;陰極菌群多樣性受COD/N調控,低COD/N下反硝化菌豐度降低。
3. 陰極生物膜分層:
? 反硝化菌富集于生物膜表層(O?充足區),隨深度增加豐度衰減(深層高pH抑制);
? 硝化菌全層分布,不受pH梯度影響。
4. 應用指導:處理低C/N廢水時需補充碳源或采用連續流模式以平衡脫氮與產能。