熱線:021-66110810,66110819
手機:13564362870

熱線:021-66110810,66110819
手機:13564362870
Foraminiferal Ecology and Role in Nitrogen Benthic Cycle in the Hypoxic Southeastern Bering Sea
缺氧的白令海東南部有孔蟲生態學及其在底棲氮循環中的作用
來源:Frontiers in Marine Science 1 November 2020 | Volume 7 | Article 582818
摘要核心發現
本研究首次揭示缺氧白令海峽谷底棲有孔蟲群落通過細胞內硝酸鹽積累與反硝化作用,貢獻6%的底棲氮循環通量。關鍵發現包括:
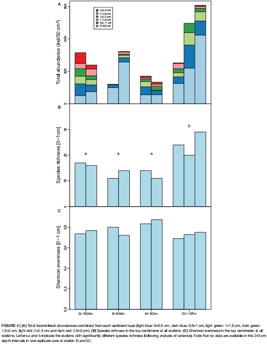
缺氧適應性:在1536米和536米缺氧站位(O?<63 μmol/L),有孔蟲豐度未顯著降低,但物種多樣性下降(圖4B)。

氮代謝突破:優勢種(如Globobulimina pacifica)細胞內硝酸鹽濃度高達648 mmol/L(環境濃度的4000倍),證實真核微生物的氮儲存能力(表3)。

生態功能:有孔蟲反硝化作用占底棲硝酸鹽還原的0.2%-6%(表4),填補了高緯度缺氧區真核微生物氮循環的量化空白。

研究目的
1.生態機制:
解析白令海峽谷梯度(103-1536米)中,有機質供給與缺氧壓力如何驅動有孔蟲群落分布(圖1)。

2.氮循環貢獻:
量化有孔蟲細胞內硝酸鹽積累及反硝化作用對底棲氮損失的貢獻(圖6)。

研究思路
1. 梯度采樣設計
站位設置:沿白令海峽谷選取4個梯度站位(G-1536m, B-536m, M-103m, E2-197m),覆蓋缺氧區(G、B)與富氧區(M、E2)(圖1)。
核心參數:同步測定水體氧含量、沉積物有機碳(TOC)、粒度、孔隙水營養鹽(圖3)。

2. 多維度數據采集
群落分析:切片沉積物(0-3 cm),CTG熒光染色鑒別活體有孔蟲,統計豐度與物種組成(圖4-5)。
氮代謝量化:
細胞內硝酸鹽/銨濃度:顯微分光光度法測量(表3)。
反硝化速率:Unisense微電極測N?O通量(方法部分)。
環境關聯:典范對應分析(CCA) linking物種分布與15項環境因子(圖6)。
3. 技術整合
Unisense微電極:測定沉積物氧滲透深度(圖3)及N?O梯度,計算反硝化通量。
孔隙水剖面:連續流分析儀測NO??+NO??濃度,驗證有孔蟲對氮庫的貢獻。
關鍵數據及研究意義
1. 有孔蟲群落響應環境梯度(圖4-5)

數據:
缺氧站(G、B)物種數僅11-22種,富氧站(E2)達22-30種(圖4B)。
優勢種Uvigerina peregrina在缺氧站占比32%(0-1 cm層),Globobulimina pacifica在深層占比36%(圖5)。
意義:證實缺氧篩選耐受物種,但有機質供給(TOC)維持群落豐度,挑戰了"缺氧必然導致豐度下降"的傳統認知。
2. 細胞內氮庫的規模(表3)
數據:
G. pacifica細胞內NO??濃度達648 mmol/L(環境孔隙水僅0.16 mmol/L)。
9種有孔蟲的細胞內氮庫占孔隙水NO??的0.5%-19.4%(表4)。
意義:揭示有孔蟲作為"硝酸鹽海綿"的生態功能,緩沖底層氮短缺。
3. 反硝化貢獻(表4)
數據:
G. pacifica、Bolivina spathulata反硝化速率達711 pmol/ind/day。
有孔蟲貢獻站G總硝酸鹽還原的6%(圖6)。
意義:首次量化真核微生物在高緯度缺氧區的氮移除效率,修正全球海洋氮模型。
4. 氧滲透深度的調控作用(圖3)
數據:
缺氧站(G、B)氧滲透僅5 mm,富氧站(M、E2)達17-22 mm。
氧滲透層與TOC負相關(r=-0.82, p<0.01)。
意義:證實有機質驅動氧化層壓縮,迫使有孔蟲轉向硝酸鹽呼吸。
丹麥Unisense電極數據的核心價值
技術優勢
微尺度分辨率:
50μm氧微電極(圖3)精準刻畫毫米級氧梯度,揭示1536米站位的5mm氧滲透極限——此數據是理解有孔蟲厭氧代謝的基礎。
生理過程原位量化:
N?O微電極通過乙炔抑制法(方法部分)直接測定單細胞反硝化速率,避免培養偏差。
關鍵科學發現
1.缺氧代謝的時空動態(圖3):
氧微剖面顯示站G的陡峭氧衰減(0-5mm從200→0 μmol/L),解釋為何G. pacifica在深層富集(需厭氧微生境)。
對比站E2的階梯式氧耗,表明砂質沉積物中氧擴散更高效,支持淺棲物種生存。
2.氮循環耦合機制:
Unisense數據證實:當氧滲透<5mm時,孔隙水NO??被有孔蟲競爭性消耗(圖3紅點),導致反硝化成為主導路徑。
站B的低孔隙水NO??(4.8 μmol/L)與高有孔蟲氮庫(表3)的負相關,凸顯微生物對氮資源的再分配。
3.生態模型驗證:
CCA分析(圖6)依賴Unisense測量的氧滲透深度(OPD) 和擴散氧吸收(DOU) ,證明OPD是驅動物種分布的第一主控因子(軸1貢獻27%)。
應用意義
缺氧區生物泵修正:Unisense量化了真核微生物的氮匯強度(6%反硝化貢獻),表明有孔蟲是深海氮循環不可忽略的組分。
氣候響應指標:氧微剖面建立的TOC-OPD關系,為預測暖化下缺氧擴張的生態效應提供基線。
結論
1.缺氧適應性:白令海有孔蟲通過物種篩選(耐受種優勢)和代謝轉換(硝酸鹽呼吸)維持群落穩定性。
2.氮循環引擎:有孔蟲細胞內氮庫規模(4000倍環境濃度)及反硝化貢獻(6%),確立其為深海氮循環的真核驅動者。
3.技術必要性:Unisense微電極是解析微生境-代謝耦合的唯一手段,其毫米級分辨率不可替代。
未來方向:結合分子生物學驗證有孔蟲反硝化基因,拓展至北極缺氧區對比研究。