熱線:021-66110810,66110819
手機:13564362870

熱線:021-66110810,66110819
手機:13564362870
Peak Chromium Pollution in Summer and Winter Caused by High Mobility of Chromium in Sediment of a Eutrophic Lake: In Situ Evidence from High Spatiotemporal Sampling
(EST)富營養化湖泊沉積物中鉻的高遷移率導致夏、冬季鉻污染高峰來自高時空采樣的原位證據
來源:Environ. Sci. Technol. 2019, 53, 4755?4764
論文摘要
本研究旨在探究富營養化湖泊沉積物中鉻(Cr)的遷移機制。通過在太湖梅梁灣進行月度野外采樣并結合室內控制實驗,研究人員發現夏季(2016年7月)和冬季(2017年1月) 上覆水中的可溶性鉻和DGT(薄膜擴散梯度技術)有效態Cr(VI)濃度均超過了飲用水和漁業水質標準。夏季的鉻污染高峰主要源于厭氧沉積物中Cr(III)與溶解性有機質(DOM)的絡合作用,而冬季的高峰則主要由好氧沉積物中Mn(III/IV)氧化物對Cr(III)的再氧化作用導致。
研究目的
本研究的主要目的是:
揭示鉻在富營養化湖泊沉積物中的全年變化規律和遷移轉化機制。
探究藍藻水華這一典型富營養化現象如何影響沉積物中鉻的遷移性。
通過高分辨率原位采樣技術,為鉻的環境行為提供直接、準確的現場證據。
研究思路
本研究采用了 “野外實地觀測”與“室內控制實驗”相結合的研究思路:
野外調查:在太湖梅梁灣進行為期一年(2016年2月至2017年1月)的月度采樣,使用高分辨率孔隙水平衡透析器(HR-Peeper)和鋯氧化物-螯合樹脂DGT(ZrO-Chelex DGT)探頭,以毫米級分辨率原位測量沉積物-水界面附近可溶性鉻和DGT有效態Cr(VI) 的垂直分布。
室內實驗:
好氧-厭氧培養實驗:通過向培養系統通入O?或N?,模擬沉積物環境的氧化還原條件變化,并每4小時采樣,探究鉻在動態 redox 條件下的響應機制。
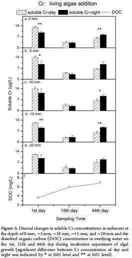
活體藍藻添加培養實驗:向沉積物柱中添加活體藍藻,模擬藍藻水華的發生、發展和衰亡過程,并在特定時間點每3小時采樣,探究藍藻水華對沉積物中鉻遷移的日內變化影響。
測量數據及其研究意義(注明來源)
本研究測量了多方面的數據,其意義和來源如下:
可溶性鉻和DGT有效態Cr(VI)的濃度與時空分布:
意義:直接反映了鉻在沉積物孔隙水中的遷移性和潛在生物有效性。可溶性鉻濃度指示總溶解態鉻的遷移潛力,而DGT有效態Cr(VI)則專門指示毒性更強的Cr(VI)的濃度,是評估生態風險的關鍵指標。
來源:月度變化的垂直分布數據來自圖1(可溶性Cr)和圖2(DGT有效態Cr(VI))。月度平均濃度的對比顯示在圖3a和3b。與水質標準的對比見表1。




共存的氧化還原敏感參數(如Fe、Mn):
意義:鐵和錳是沉積物中重要的氧化還原參與者。它們的濃度變化(圖1和圖2)有助于解釋鉻形態轉化的驅動機制。例如,Fe(II)是Cr(VI)的還原劑,而Mn氧化物是Cr(III)的氧化劑。
來源:同圖1和圖2。
孔隙水地球化學參數(pH,陰離子,陽離子,DOC等):
意義:用于進行地球化學模擬(圖3c, 3d),計算鉻在孔隙水中的具體化學形態(如CrO?2?、DOM-Cr(III)絡合物),從理論上驗證提出的遷移機制。
來源:模擬結果見圖3c和3d。
室內實驗中的高頻動態數據:
意義:好氧-厭氧實驗中的每小時數據(圖4)直接證明了厭氧條件下DOM(通過UV254指示)的增加與可溶性鉻濃度的同步上升存在顯著正相關,強有力地支持了夏季Cr(III)-DOM絡合的主導機制。藍藻添加實驗(圖5)顯示了藍藻生命活動如何改變鉻遷移的晝夜節律。


來源:圖4和圖5。
研究結論
季節性驅動機制:鉻在太湖梅梁灣沉積物中的遷移性存在明顯的季節性差異。夏季高峰主要由厭氧條件下Cr(III)與DOM絡合引起;冬季高峰則由好氧條件下Mn氧化物對Cr(III)的再氧化作用主導。
生態風險:研究結果表明,不僅毒性較強的Cr(VI)在冬季存在高風險,夏季以Cr(III)形態存在的可溶性鉻也因濃度過高而構成生態風險,挑戰了“Cr(III)在沉積物中總是穩定的”傳統觀點。
藍藻水華的影響:藍藻水華通過提供有機質間接影響夏季鉻的遷移,并會改變沉積物中鉻遷移的晝夜動態模式。
治理啟示:亟需制定針對性的修復策略,特別是在冬季控制Cr(VI)的生成和釋放,同時考慮通過控制藍藻水華來減少DOM的輸入,從而間接降低鉻的活性。
丹麥Unisense電極測量數據的研究意義詳細解讀
在好氧-厭氧培養實驗中,研究人員使用丹麥Unisense公司的微電極來實時監測沉積物柱中氧化還原電位(Eh)和溶解氧(DO)的動態變化(這些數據在文檔的圖S4中提及)。
詳細研究意義如下:
提供精確的環境背景:Unisense微電極能夠以高時空分辨率測量沉積物微環境中的Eh和DO。這為解釋可溶性鉻濃度每4小時的變化提供了最直接的、同步的環境背景數據。例如,當通入O?時,電極數據可以精確顯示系統何時從缺氧狀態轉為好氧狀態,以及這種轉變的強度和均勻度。
驗證實驗控制的可靠性:通過監測Eh/DO的變化,研究人員可以確認他們的實驗操作(通入O?或N?)是否成功達到了預期的氧化或還原條件。這確保了后續觀察到的鉻濃度變化確實是氧化還原條件改變的結果,而非其他未控制因素的干擾,從而增強了實驗結論的可靠性。
揭示氧化還原過程的動力學:高頻的電極數據可以揭示氧化還原條件變化的動力學過程。例如,在通入O?后,DO濃度和Eh值的上升速率如何?沉積物中固有的還原性物質(如有機質、Fe(II)、S2?)是否會消耗O?,導致氧化鋒面推進緩慢?這些動態信息有助于理解鉻形態轉化發生的時機和速率。
關聯微觀機制與宏觀現象:將Unisense電極測得的微觀氧化還原梯度與HR-Peeper和Rhizon測得的孔隙水化學變化(如Cr、Fe、Mn的濃度)進行關聯,可以建立“氧化還原條件改變 → Mn/Fe氧化物溶解或形成 → Cr的還原或氧化”這一系列連鎖反應的直接證據鏈。它使研究人員能夠回答“為什么在這個時間點鉻的濃度開始變化”這類關鍵問題。
總之,使用Unisense微電極測量Eh/DO,是將沉積物視為一個動態的、非均質的反應器進行研究的關鍵技術。它超越了傳統的“靜態”培養,實現了對驅動鉻遷移轉化的核心環境變量——氧化還原條件——的原位、實時、定量刻畫,極大地提升了對鉻生物地球化學循環過程的理解深度。