熱線:021-66110810,66110819
手機:13564362870

熱線:021-66110810,66110819
手機:13564362870
Artificially oxygenating the Swan River estuary increases dissolved oxygen concentrations in the water and at the sediment interface
人工充氧天鵝河增加了水中和沉積物界面溶解氧的濃度
來源:Ecological Engineering 128 (2019) 112–121
論文摘要
本研究評估了澳大利亞珀斯天鵝河河口上游人工增氧系統(Caversham側流超飽和(SSS)氧氣廠)對改善水體缺氧的效果。通過為期12天的實驗(3天停運-5天運行-4天停運),綜合運用走航斷面測量、錨系連續監測、聲學多普勒流速剖面儀(ADCP)和原位沉積物微剖面儀,研究了增氧對水體和沉積物-水界面溶解氧(DO)動態的影響。結果表明,人工增氧能立即顯著提高水體DO濃度,其影響范圍受河口流體動力學(如潮汐遷移)強烈控制。運行5天后,DO增加的影響范圍超過11.5公里。更重要的是,增氧顯著提高了沉積物-水界面的DO濃度,從而增加了氧氣向沉積物中的擴散通量。這為水生生物提供了避難所,并促進了有機質的好氧分解和沉積物-水界面的營養鹽循環。該研究證明了人工增氧技術應用于淺水河口的有效性,為全球日益嚴重的河口缺氧問題提供了可行的工程解決方案。
研究目的
評估增氧效果:量化人工增氧對天鵝河河口水體溶解氧濃度的改善程度及其空間影響范圍。
揭示驅動機制:探究河口水動力條件(如潮汐遷移、分層強度)如何控制增氧效果的擴散與分布。
探究沉積物響應:確定人工增氧是否以及如何影響沉積物-水界面的氧動力學,包括界面DO濃度和沉積物氧消耗通量。
指導工程應用:為淺水河口設計和管理人工增氧設施提供科學依據和實踐經驗。
研究思路
研究采用“控制實驗-多技術同步監測-多參數關聯分析”的思路:
控制實驗設計:在Caversham氧氣廠進行為期12天的操控實驗,設置“停運(3天)-運行(5天,40 kg O?/h)-停運(4天)”三個階段,以對比增氧的效果。
多維度同步監測:
走航斷面測量:每日在增氧廠上下游斷面(最初目標影響區約6.3km,后擴展至約11.5km)使用多參數水質儀(Hydrolab DS5X)采集水體的垂直剖面數據(DO、溫度、鹽度、pH)。
連續定點監測:在增氧廠上下游(120m和160m)分別布設錨系監測站,連續記錄表層和底層水的DO等參數(每10分鐘一次),捕捉潮汐和晝夜變化。
水動力測量:在放電口下游145m處布設ADCP,每5分鐘測量一次流速剖面,用于計算潮汐遷移距離和層理查森數(RiL,判斷 stratification 和混合狀態)。
沉積物-水界面測量:在放電口下游175m處部署 丹麥Unisense微剖面系統(MiniProfiler MP4),配備氧微電極(OX-100),高頻(1Hz)測量界面附近(水上90mm至水下40mm)的DO微剖面。
數據整合與分析:
計算潮汐遷移距離、RiL、水體總氧含量、體積加權DO濃度等。
根據Fick第一定律,利用微剖面數據計算沉積物耗氧速率(SOD)。
綜合所有數據,分析增氧的時空效應及其與水文條件的關聯。
測量數據及其研究意義(注明來源)
研究測量了多維度數據,其意義和來源如下:
水體溶解氧(DO)濃度時空分布:
意義:直接表征人工增氧的核心效果。數據顯示,增氧立即提高了水體DO,且效果隨運行時間累積,影響范圍遠超設計目標區(圖3, 4)。停運后DO快速下降,證實了增氧的必要性和系統的高氧耗背景。


來源:數據來自走航斷面(圖4)和連續錨系監測(圖3)。
水動力參數(流速、流向、潮汐遷移距離):
意義:揭示了增氧效果傳播的驅動機制。潮汐遷移距離計算表明,底層水體可向上游遷移超7km,向下游遷移超12km(圖2a),這解釋了DO影響范圍為何如此之大。層理查森數(RiL) 顯示實驗后期出現強分層(圖2c),抑制了垂直混合,導致底層DO在停運后快速耗竭。

來源:數據來自ADCP測量及計算(圖2)。
沉積物-水界面氧微剖面:
意義:這是本研究最關鍵的發現之一。Unisense微剖面儀數據直接顯示,增氧顯著提高了界面處的DO濃度,并增加了氧氣向沉積物中滲透的深度(圖7)。這證明了人工增氧不僅能改善水體,還能激活沉積物中的好氧過程。

來源:數據來自Unisense微剖面儀(圖7)。
沉積物耗氧速率(SOD):
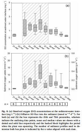
意義:量化了增氧對沉積物生物地球化學過程的激發效應。計算顯示,增氧期間SOD比背景值提高了一個數量級(從~0.6增至~11.8 mmol m?2 d?1)(圖8b)。這表明增氧有效刺激了沉積物中的好氧呼吸和氧化反應。

來源:由Unisense微剖面數據根據菲克定律計算得出(圖8)。
輔助參數(溫度、鹽度):
意義:鹽度數據(圖4f-j)揭示了鹽楔入侵和分層結構的發展,為解釋DO的垂直分布(如停運后表層高氧、底層缺氧)提供了關鍵環境背景。
來源:與DO同步測量。
研究結論
人工增氧高效改善河口缺氧:SSS技術能快速、有效地提高淺水河口的DO濃度。增氧效果具有累積性,持續運行下影響范圍可超過11公里。
水動力控制氧分布:增氧效果的空間分布和范圍主要受潮汐遷移主導。分層強度則控制DO的垂向分布,分層會限制增氧對底層水體的改善效果。
增氧激活沉積物好氧過程:人工增氧不僅提升水體DO,還能顯著提高沉積物-水界面的DO濃度和向沉積物的氧通量(SOD)。這對于促進有機質好氧分解、抑制厭氧副產物(如H?S、NH??)釋放、改善整體生態功能至關重要。
技術應用前景廣闊:該研究成功將SSS技術從湖泊水庫拓展至淺水河口,為全球眾多受缺氧困擾的富營養化河口提供了一種行之有效的工程恢復工具。
使用丹麥Unisense電極測量數據的研究意義詳細解讀
在本研究中,丹麥Unisense公司的沉積物微剖面系統(MiniProfiler MP4) 和 氧微電極(OX-100) 被用于原位、高頻(1 Hz)測量沉積物-水界面附近(水上90mm至水下40mm)的溶解氧微剖面(方法部分2.3,結果部分3.3)。
詳細研究意義如下:
提供直接、高分辨率的界面過程證據:Unisense系統以亞毫米級的分辨率捕獲了DO濃度在界面附近的精確梯度(圖7)。這些數據是證明“人工增氧能提高沉積物-水界面DO”的最直接、最令人信服的證據。傳統孔隙水取樣方法無法達到如此高的空間分辨率,且會擾動敏感的界面環境。
量化關鍵生態功能參數——沉積物耗氧速率(SOD):基于Unisense測量的DO微剖面,通過菲克第一定律計算出的SOD(圖8b)是評估沉積物生物地球化學活性的核心指標。數據顯示增氧使SOD從背景的0.6 mmol m?2 d?1激增至11.8 mmol m?2 d?1,這定量地證實了增氧極大地刺激了沉積物中的微生物活性和化學氧化反應,這對于有機質礦化和營養鹽循環至關重要。
揭示增氧的生態級聯效應:Unisense數據揭示的界面氧環境改善,是理解增氧帶來一系列生態好處的關鍵。更高的界面DO意味著:
創造好氧棲息地:為底棲無脊椎動物(如蠕蟲、貝類)提供了生存條件,有利于底棲群落恢復。
促進良性生物地球化學循環:好氧環境促進硝化作用(NH?? → NO??),并與反硝化作用耦合,可能增強氮的移除(脫氮)。同時,好氧條件有利于將磷固定在鐵氧化物上,減少其釋放至水體,從而抑制藻華。
技術優勢賦能機制研究:Unisense微電極的原位、無損、高精度測量避免了采樣擾動,真實反映了界面的動態變化。其快速響應時間(<8s) 使其能夠追蹤潮汐周期等動態過程可能帶來的變化。這些高質量的數據是連接“工程干預(增氧)”與“生態響應(沉積物過程)”的核心橋梁。
綜上所述,Unisense微電極系統獲得的數據遠超簡單的濃度測量。它是解析沉積物-水界面這一關鍵生態熱點對人工增氧響應機制的“顯微鏡”。通過提供無可辯駁的直接證據和定量數據,它證實了人工增氧不僅是一種“水質凈化”工程,更是一種能激活底層生態功能、促進系統自我恢復的生態工程工具,極大地深化了我們對人工增氧技術生態效益的理解。