熱線:021-66110810,66110819
手機:13564362870

熱線:021-66110810,66110819
手機:13564362870
Nitrogen removal, microbial community and electron transport in an integrated nitrification and denitrification system for ammonium-rich wastewater treatment
富氨廢水處理中集成硝化和反硝化系統的氮去除、微生物群落和電子傳輸
來源:International Biodeterioration & Biodegradation, Volume 133, 2018, Pages 202-209
《國際生物劣化與生物降解》,第133卷,2018年,第202-209頁
摘要
摘要部分指出,部分硝化和反硝化(PND)是一種有前景的氮去除技術,本研究旨在優化PND反應器的操作以實現穩定的部分硝化,處理富氨廢水。研究使用宏基因組學分析功能基因和微生物群落,通過呼吸鏈抑制劑實驗研究反硝化電子傳輸鏈。實現了53.3%的銨氮去除效率,出水亞硝酸鹽氮與銨氮濃度比為0.74。優勢微生物包括Nitrosomonadaceae(氨氧化細菌)和Nitrospira(亞硝酸鹽氧化細菌),反硝化菌主要為Thauera、Phycisphaerales和Paracoccus。高亞硝酸鹽氮濃度增加了亞硝酸鹽氧化細菌活性,阻礙穩定部分硝化,并導致更多N2O排放。提出了修改的反硝化電子傳輸模型,解釋高亞硝酸鹽氮濃度如何增強亞硝酸鹽還原酶的電子競爭,導致N2O還原酶電子供應不足,從而增加N2O排放。
研究目的
研究目的是優化集成部分硝化和反硝化(PND)系統的操作,實現穩定的部分硝化和高效氮去除,特別是針對富氨廢水。研究旨在分析微生物群落和功能基因,探討亞硝酸鹽氮(NO2-N)對硝化和反硝化性能的影響,并闡明反硝化過程中電子競爭機制,以減少溫室氣體N2O排放。
研究思路
研究思路包括長期運行一個序批式反應器(SBR),處理合成富氨廢水,分六個階段逐步增加進水銨氮濃度和調整操作條件。使用宏基因組學和16S rRNA測序分析微生物群落和功能基因。進行批實驗研究NO2-N濃度對硝化的影響,以及不同電子受體(NO2-N或NO3-N)和碳源對反硝化的影響。通過添加呼吸鏈抑制劑(如rotenone、QDH、antimycin A、DCC)研究反硝化電子傳輸鏈。基于實驗結果提出修改的電子傳輸模型。
測量的數據及研究意義
1 系統性能數據:測量了反應器進出水氮濃度(NH4-N、NO2-N、NO3-N)、總有機碳(TOC)和N2O排放動態,這些數據來自Fig.1。研究意義是評估PND系統的氮去除效率和部分硝化穩定性,為優化操作參數提供依據。

2 微生物群落結構數據:通過16S rRNA測序分析了微生物在門、綱、屬水平的相對豐度。研究意義是識別優勢菌群(如AOB、NOB和反硝化菌),理解微生物對氮去除的貢獻。
3 功能基因豐度數據:使用宏基因組學測量了氮循環相關基因(如amo、hao、nxrA、nar、nir、nor、nosZ)的相對豐度,這些數據來自Fig.2。研究意義是揭示氮轉化途徑的分子基礎,關聯微生物功能與性能。

4 微生物擁有功能基因數據:匹配特定微生物(如Thauera、Nitrosomonas)與功能基因,這些數據來自Fig.3。研究意義是確定關鍵菌株在氮去除和N2O減排中的作用,指導菌群調控。

5 硝化性能數據:在不同初始NO2-N濃度(0、5、20、80 mg/L)下測量NH4-N氧化速率、NO2-N和NO3-N產生速率、AOB/NOB活性比和N2O排放因子,這些數據來自Table 1。研究意義是評估NO2-N對硝化微生物活性的影響,優化部分硝化條件。

6 反硝化性能數據:使用不同電子受體(NO2-N或NO3-N)和碳源測量NO2-N或NO3-N還原速率、TOC利用速率和N2O轉化率,這些數據來自Table 2。研究意義是比較電子受體對反硝化效率和N2O排放的影響,指導碳源選擇。

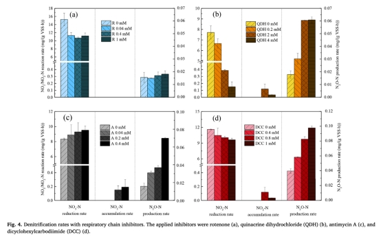
7 電子傳輸鏈數據:添加抑制劑后測量NO3-N還原速率、NO2-N積累速率和N2O產生速率,這些數據來自Fig.4。研究意義是闡明電子傳輸路徑和競爭機制,解釋N2O產生原因。

8 電子傳輸模型數據:基于實驗提出修改的電子傳輸模型,顯示電子從CoQ到NAR,從Cyt c到NIR、NOR和NOS,這些數據來自Fig.5。研究意義是可視化電子競爭過程,為模型開發提供基礎。

結論
1 系統實現了53.3%的銨氮去除效率和85.7%的部分硝化比率,證明PND在富氨廢水處理中的可行性。
2 微生物群落以Bacteroidetes和Proteobacteria為主,AOB(Nitrosomonadaceae)豐度高于NOB(Nitrospira),反硝化菌如Thauera、Phycisphaerales和Paracoccus占主導。
3 功能基因分析顯示Thauera、Nitrosomonas和Acidovorax同時擁有硝化和反硝化基因,可能參與全程氮去除。
4 NO2-N濃度在抑制閾值以下時增強NOB活性,降低AOB/NOB比,阻礙穩定部分硝化。
5 反硝化以NO2-N為電子受體時N2O排放比NO3-N高3倍, due to電子競爭加劇。
6 電子傳輸模型表明NAR優先從CoQ獲電子,NIR、NOR和NOS從Cyt c并行獲電子,高NO2-N濃度增強NIR電子需求,導致NOS電子不足,增加N2O排放。
7 擁有nosZ基因的微生物(如Thauera、Aequorivita、Rhodothermus)有助于減少N2O排放。
使用丹麥Unisense電極測量數據的研究意義
使用丹麥Unisense電極(N2O-100微傳感器)在線測量反硝化過程中的溶解N2O濃度,這些數據在文中用于計算N2O轉化率和監測動態排放。研究意義在于該電極提供了高時間分辨率的實時監測能力,能夠準確捕捉N2O產生瞬態變化,避免傳統離線測量的延遲和誤差。這有助于深入理解反硝化過程中電子競爭對N2O排放的影響,例如在碳源不足時N2O積累的機制,為優化操作條件以減少溫室氣體排放提供直接證據。此外,在線數據與動力學參數結合,增強了電子傳輸模型的可信度,支持了高NO2-N濃度導致N2O還原酶電子供應不足的結論。