熱線:021-66110810,66110819
手機:13564362870

熱線:021-66110810,66110819
手機:13564362870
研究簡介:本研究報道了在太平洋深淵海床上進行的一系列實驗,揭示了深海沉積物中一種名為“暗氧產生”(DOP)的新現象。研究團隊通過在Nauru Ocean Resources Inc.(NORI)-D許可區域的克拉里昂-克利珀頓區(CCZ)進行的原位底棲室實驗,觀察到氧氣濃度在兩天內增加了三倍以上,超過了背景濃度。這一現象與多金屬結核的存在相關,這些結核表面具有高達0.95V的高電壓勢,提示海水電解可能是DOP的一個來源。實驗中,研究人員排除了實驗操作、空氣氣泡和塑料室材料對氧氣產生的影響,并通過獨立測量確認了DOP的存在。他們還提出了“地質電池”假說,即結核層間的電位差可能引起電子重新分布,從而產生氧氣。這一發現與所有已發表的深海沉積物氧氣通量研究結果不同,表明DOP可能為深海呼吸作用提供氧氣。本研究強調了理解DOP機制的重要性,這不僅有助于人們更好地理解深淵海洋生態系統,還可能對深海采礦活動產生影響。深海采礦可能會改變結核上的沉積物分布,進而影響DOP活動。因此,未來的研究需要進一步探索DOP的時間性質和空間分布,以及它在地球歷史中金屬氧化物沉積、生物進化和地球氧化過程中的作用。
unisense水下原位培養箱的應用
海底O2微剖面是在5E巡航期間部署AKS313、AKS316、AKS318和AKS321著陸器期間使用安裝在距海底室<0.5 m處的UNISENSE深海微剖面裝置制作的。使用20 cm O 2微型傳感器以0.05 mm的步長穿透沉積物來制作微觀剖面。微傳感器在著陸器部署前2小時在原位溫度(1.6°C)、0%和100%O 2飽和度下進行校準。在每個采樣深度,微傳感器在每次測量之前停止5秒。然后傳感器記錄了五個單獨的O 2濃度測量值。對每個深度點取這五次測量的平均值?;贠 2濃度與O2開始耗盡的深度的斜率的轉折點手動確定沉積物表面。
實驗結論
研究人員在太平洋深淵海床的多金屬結核覆蓋區域通過原位底棲室實驗觀察到了暗氧產生現象,即在沒有光合作用的情況下,氧氣濃度出現了凈增加。研究發現DOP(暗氧)與多金屬結核的存在密切相關。結核表面具有高電壓勢,這提示了海水電解可能是DOP的一個可能機制。研究者提出了“地質電池”假說,即結核層間的金屬離子電位差可能導致電子內部重新分布,從而產生氧氣。通過在CCZ的多個地點進行實驗,研究者發現DOP不是孤立現象,而是在多個地點都有發生,表明這一過程可能在深淵海床中有廣泛的分布。DOP可能為深海海底的呼吸作用提供氧氣,這對于深海生態系統的能量和物質循環具有重要意義。同時深海采礦活動可能會影響結核上的沉積物分布,進而影響DOP活動,對深海環境造成潛在影響。
圖1、a–c,原位海底艙著陸器部署是在5D(a)、5E(b)和7A(c)巡航至NORI-D許可區域期間進行的。所有孵化實驗中都存在結節。5D圖(a)中的綠色調、藍色調和紅線分別表示死藻生物質、溶解的無機碳,NH4+和過濾的海水處理。AKS279-Ch.3中光極數據的間隙是由于光極定期不記錄數據造成的。黑線表示AKS273 5D巡航期間在底棲室外部測得的環境O 2濃度。5E(b)和7A(c)圖中的綠色和黃色色調線分別表示死藻生物量和對照(無注射)處理。在28、38和47 h的一些O2濃度分布圖中看到的小幅下降是由于用50 ml海水稀釋了腔室水造成的,海水通過1.5 m(0.25 cm直徑)從外部夾帶到腔室中。當注射器采樣器從室內采集海水樣品時打開管子。在5D和7A實驗的前2小時內測得的恒定O2濃度是由于攪拌器關閉1小時以使底物(例如死藻生物質)下沉到沉積物表面。在5E探險期間,從著陸器部署的那一刻起,直到著陸器返回且攪拌器的電源斷開為止,攪拌器一直處于打開狀態。
圖2、克拉里昂-克利珀頓區(CCZ)內的底棲室著陸器和多管取樣器部署位置底棲室著陸器(BCL)在APEIs 1、4和7(西CCZ)、UK1和OMS以及NORI-D(星號)的部署位置(a),以及NORI-D的兩個區域(Collector Test Area或CTA和Preservation Reference Zone或PRZ)(b-d)的中央深淵太平洋。圖c中還顯示了多管取樣器(MUC)的部署位置,該取樣器在5D航次期間采集了用于5D航次期間進行的原位實驗的沉積物樣本。
圖3、在NORI-D底棲室著陸器實驗期間通過Winkler滴定法測量的水樣中的氧氣濃度在不同處理下,定期從室內收集的水樣中通過微Winkler分析測量的平均氧氣濃度(μmol L?1)。處理包括5D(A)、5E(E)和7A(G)航次期間的死亡藻類生物質,5D航次期間的DIC+NH4+(B),5D航次期間的0.45-μm過濾海水(C),以及5D(D)、5E(F)和7A(H)航次期間的對照(無注射)。
圖4、在UK1和OMS許可區域以及APEIs 1、4和7進行的底棲室著陸器實驗中測量的氧電極濃度。在2015年UK1和OMS許可區域以及2018年6月西CCZ的APEIs 1、4和7進行的36小時深淵(4037-5216米)原位底棲室著陸器實驗中記錄的氧電極讀數。這些實驗與在NORI-D進行的實驗相同。2015年和2018年實驗中記錄的O2濃度是基于4-6個月前進行的工廠校準得出的,因為在船上無法復制原位溫度進行氧電極校準。因此只能解釋O2濃度的相對變化。
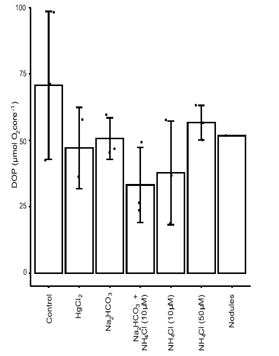
圖5、條形圖顯示了在原位外沉積物芯中的總凈O2產生。在5D航次期間進行的48小時原位外孵化中,沉積物芯(n=1-3)暴露于各種處理下的總凈O2產生(μmol O2 core?1)。O2產生是通過計算t=0小時和48小時之間覆蓋沉積物的水相中O2濃度的差異來確定的,同時考慮了芯體積。圖中也顯示了作為條形圖上方數據點的個別通量。
結論與展望
本研究在太平洋克拉里昂-克利珀頓區(CCZ)的深淵海床進行了一系列的原位底棲室實驗,揭示了深海海底多金屬結核覆蓋區域存在一種新的氧氣產生機制——暗氧產生(DOP)。實驗結果顯示,在沒有光合作用的情況下,海底沉積物中的氧氣濃度出現了顯著增加,這一現象與海底多金屬結核的存在密切相關。UNISENSE原位培養箱裝置的微剖面數據揭示了在實驗過程中,氧氣濃度在沉積物中不僅沒有減少,反而出現了凈增加的現象,即DOP(暗氧)。這一發現對于理解深海生態系統中的氧氣循環具有重要意義研究者通過排除實驗操作、空氣氣泡和塑料室材料等可能的影響因素,確認了DOP的存在。此外,結核表面存在的高電壓勢(高達0.95V)提示了海水電解可能是DOP的一個重要機制。研究還提出了“地質電池”假說,即結核層間的金屬離子電位差可能導致電子內部重新分布,從而產生氧氣。UNISENSE原位培養箱結合的深海微剖面裝置被用于進行海底氧氣微剖面測量,通過使用氧氣微傳感器,UNISENSE深海微剖面裝置能夠穿透沉積物,并在不同深度測量氧氣濃度。這有助于研究者了解沉積物-水界面處以及沉積物內部的氧氣梯度。本研究的結論強調了DOP作為一種新的深海氧氣產生機制的發現,其與多金屬結核的潛在聯系,以及這一發現對深海生態系統和未來深海采礦活動的潛在影響。
相關新聞